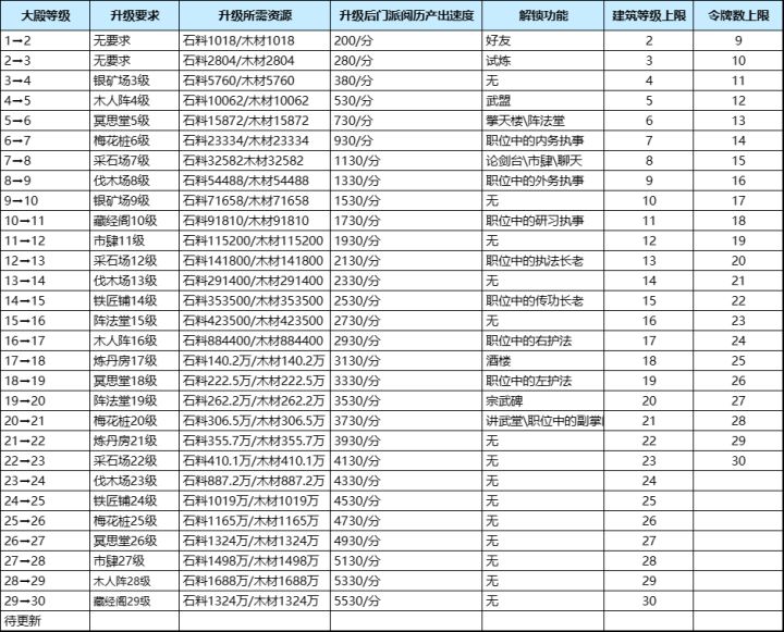
等到了23级之后,解锁第三个矿脉,就可以停下升大殿的步伐了,可以停个两天升下矿脉,我是大殿23之后升矿脉,然后把主c给重置了,主c这时候的礼物只给有好感加成的,其余分出去升绿色弟子的好感等级,绿色升完了就升蓝色的。
以绿色弟子好感为1的话,蓝色是绿色两倍,紫色是绿色五倍,但又因为赏赐的加成是固定的,所以优先赏赐绿色的,赏赐到外门红六星就可以了,没必要到内门,都是54加成,我当时就是全到内门,然后我区跟我说内门干嘛,红六星就54了
,相当于那几天少了几十加成了,记得把所有弟子都设置成采集,资源重要!有区的把所有的弟子给设置成研习阵法,完全没这个必要,前期阵法加成太少了,根本加不了多少,这样设置浪费资源还没什么用。23级解锁的两个副矿拉到18或者19之后就可以再去升大殿了,一口气把大殿升到25级,25级大殿可以在武盟商店刷至阴神功,平民必备内功!虽然我一次都没刷到过,这可恶的几率!
25级之后可以不急着升大殿了,还是优先拉矿等级就行,然后大殿等级解锁的宗武碑和讲武堂在资源不多的时候没必要解锁,前一个月这俩建筑都用不上,可以省下资源升别的,在一个月之后在建起来就行。




