【V4.5攻略·角色攻略】细嗦抗性——鲜为人知的等效与收益
2024/03/24376 浏览综合
UID 158002294

Hello 大家好鸭,
这里是C茉!
其实好早之前就在想给大家讲讲抗性的一些东西,现在终于有机会讲辣!
CONTENTS
一、抗性与计算
●what is 抗性
●抗性乘区系数
●抗性的测算(选)
二、抗性的应用
●等效血量
●带减抗的等效血量
●减抗收益
●其他问题

众嗦粥汁,抗性是伤害减免区最重要的一员,敌方目标总是会在某些手段上减少所受的伤害,最明显的反而不是防御,而是抗性。
敌人抗性通常不明显表现出来。如何得知敌人的抗性?
一方面可以通过直接计算数据得出,另一方面可以通过所受伤害的变化测算出;但对「手无寸铁」的玩家来说,后者一定是摸索的最好方式,但是后者比前者要难。

通常情况下,敌人的抗性都是10%,也称为正常抗性,平常我们所说的“没有抗性”就是指10%抗性,不是真的没有,没有抗的话会说0抗性。
抗性一般用百分比表示,分为元素抗性和物理抗性两类,其中元素抗性有7个属性,物理抗性只有物理属性,每一种属性的抗性只有一个乘区;
抗性的计算是一维的,线性的,也就是只能在一个乘区内进行加加减减;
最终抗性=基础抗性+抗性变动+抗性穿透
◆基础抗性:敌人在正常状态下的抗性,一般为10%。
◆抗性变动:目标在不同条件下,所进行抗性改变的大小,为减抗,加抗。
◆抗性穿透:该特性目前只在正机之神身上出现,穿透于瘫痪的核心处:在此处打伤害的时候会额外减去一部分抗性去计算,实际效果就表现为抗性穿透(穿透170%),这也是为什么成为了核爆桩子的原因。
敌人全抗性列表(4.4)


什么是「对应」?
「对应」适用于多敌人条目。是指该敌人集合中对应属性的抗性,通常对应属性的抗性会在左边单独一列,但非对应抗性一般为正常状态,也就是10%(部分敌人不符合,以条目内定义的正常状态为准)。
对于单个敌人条目,则因为只有确定的属性,并不会标出对应抗性。
为何要定义「正常状态」?
「正常状态」是适用于大多数敌人的抗性解释方法,选取敌人在常见、大多数情况下的抗性状态为「正常状态」:比如圣骸兽保持「噬骸」状态、骗骗花总是不保持眩晕状态等,选取的抗性具有更大的参考性,也符合玩家的常规印象,更容易读懂;
想想如果表中将圣骸兽写为10%抗,那你大概率会马上觉得表里数据有问题,与印象有出入,那就变得低甚至没有参考性了。抗性的相关变动(4.4)


◆例1:求某个处于雷元素附着下,刚吸收雷的兆载永劫龙兽,被4风套万叶忘放孜然后的雷抗。
兆载龙兽的初始雷抗为10%,吸收了雷元素,雷抗+60%,受到4风套扩散减抗,雷抗-40%
故这龙兽的雷抗为10%+60%-40%=30%。

抗性影响的是抗性乘区。在游戏内,根据既往的经验规律,抗性对伤害的影响是分段函数,而对应此分段函数的现象,就是抗性产生的效果,即抗性的承伤现象。抗性承伤有两种方法衡量,其一为抗性(乘区)系数(H),是分段函数的直接函数值,反映目标所受伤害的大小:
◆抗性公式:各阶段抗性(R)产生的抗性系数(H)如下式1.1-1.3:

其二为等价抗性(C),是将抗性函数通过等价计算得出,反映目标抵抗伤害的程度,不过这没什么用。H值一定不为负,且两者的和一定为1(式1.4)。

此外,绝大多数全抗性敌人的默认抗性为10%,10%抗对应的H值就是0.9,即最后打到敌人身上只有原来90%的伤害。计算虽简单,但是我给你算好了哦
~抗性公式中,常见的抗性系数如下图(蓝底为常见抗性):

抗性区变化趋势

仅关注红黄绿三条清晰的线即可!这么高的抗性,你通常也不会想打吧。通常来说,敌人的高抗和超高抗(指大于70%的抗性),是一定有办法,去通过敌人本身的奖励机制去降下来的,如破盾、打断施法、瘫痪等。(深渊的沙虫:你说得对,但是「深渊特化」是一款由深境螺旋研发的……)

选看内容(谁会去看这么一大段的文字啊)抗性测算原理首先准备好待测抗性的属性;用最平凡的普攻,尽量避开与普攻相关的所有增伤,如第一段,尽量选择以单一属性为倍率的,或者没有加成的,如刻晴、砂糖等;
第二是保证伤害稳定;角色暴击率尽量低或尽量高,保证两次的数字大小一样即可;
第三是选择合适的目标;尽量选择同级的敌人测量,这样可以完美排除防御力因素(同级防御系数为0.5);以及不找某属性免疫的敌人。
另外,如果是从已知的10%抗性出发,则需选择两个合适的目标敌人,一为待测敌人,未知待测抗性;二为已知敌人,待测抗性为10%抗性,可以选择丘丘人等。
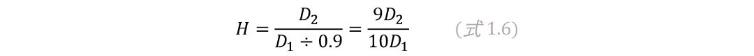
第四是计算和比较伤害、逆推抗性;计算造成的理论伤害,只需考虑敌方防御即可;将所得伤害和计算伤害相除,所得数字即为抗性系数,即为H设计算伤害为D1,实际伤害为D2,则得式1.5:

若从10%抗计算,则设已知敌人伤害为D1,待测敌人伤害为D2,那么得用式1.6:

得到H后,使用逆推公式(式1.7-1.9)推回去即可得出实际抗性:

在大多数情况下,H测出来一般都在0.9附近,那么对应的R就为10%。
测算实例

这是艾尔海森使用第一段普攻对6个样本进行的测试,图中6个敌方均为90级,可排防御;图中数字均为暴击,可排不暴;计算0抗性艾尔海森的普攻理论伤害:
1957×(1+1.64)×0.91×0.5=2350.75;
逐个对比,得出抗性:
2585/2350.75≈1.1=1+0.2/2,对应抗性-20%
2115/2350.75≈0.9,对应抗性10%
1645/2350.75≈0.7,对应抗性30%
1175/2350.75≈0.5,对应抗性50%
705/2350.75≈0.3,对应抗性70%
559/2350.75≈0.238≈1/4.2,对应抗性80%

明白抗性的作用后,换位思考一下,抗性在战斗中的应用除了伤害减少以外,还有什么衍生用法呢?本章主要介绍等效血量、减抗等效血量和减抗收益三大常见用途。

抗性太高的敌人折算下来的血量/生命值。
那么等效是怎么等效的呢?
推导思路设某角色的一套输出伤害为1000,敌人生命值为1000,其所有抗性为20%。
根据题干,那么因为抗性是一直存在的,所以敌人实际受到的伤害是经过抗性之后的,也就是角色实际输出为1000,敌人实际受伤为800,此时敌人并未死亡,反过来就是,角色输出1000无法击败,反而需要1000/0.8=1250伤害才能击败敌人,那么此时1250/1000=1.25,即生命值提升了1.25倍,等效血量为1250。将抗性转为生命值提升,此法即为等效血量。
◆公式推导:等效血量的定义是:处于抗性R下的敌人相对于正常抗性下的敌人血量的等效提升。
设敌人生命值为M,抗性系数为H,等效血量为S,那么根据推导思路,得式2.1:

当然这只是等效思路的一环,由于敌人的抗性默认为10%,将此抗性作为低抗B,将高抗性作为高抗T,两者相比,则得到式2.2:

★由此式算出来的血量,为折合到正常10%抗性下的等效血量。
此处的HB/HT值恰好为血量的提升倍数,称之为等效比。
(注:低抗B和高抗T只是表示取值的两端,两者没有相对关系,即使T<B也叫做低抗B和高抗T)当然也不能让大家进行这么复杂的计算啦,从400%到-140%的抗性的等效比(0.9/HT)我已经替你算好啦
:

这里我认为210%的数据是比较重要的,毕竟大多数敌人急了都是一下子就加个200%抗性。

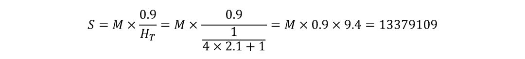
◆例2:计算93级的地方传奇「自律超算型场力发生装置」在正常抗性下的等效血量。经查询得,93级该敌人的生命值为M=1989304,那么等效血量S为:

故等效血量为1338w,等效比为8.46。

这个等效血量不太简单……推导思路比上面要难,就不折叠了:
◆推导思路:如上式所说,等效血量是按照10%抗为底计算的,但是在实际战斗中,会有各种减抗的手段出现,如钟离和风套;那么这时候,算等效血量不再是从10%计算,而是计算时的两端,即低抗B和高抗T都需要减去相同的抗性d,HT也不再是0.9,这时候就形成了带减抗的等效血量Sd(式2.7):

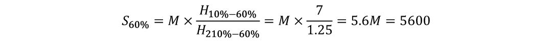
这里我们先设某敌人A生命值为M=1000,敌人全抗性为210%,角色在一定时间内造成的总减抗为d=60%;则按照推导思路,此时减抗等效血量Sd应为下式:

故敌人A的减抗等效血量为5600,等效比为5.6。
常见的高抗较少,角色减抗也较为固定,所以减抗等效比(HB/HT)基本上是一定的,计算较复杂,下表也帮你算好啦!(表中取常见抗性以常见的20%、40%、60%的三挡减抗计算)

(表中不同颜色的数字代表抗性的不同分段)不同减抗情况下,也能看出等效比的总体趋势:
减抗等效比曲线

横轴:原抗性R0,纵轴:减抗等效比

◆例3:计算90级神秘大丘减抗60%后的等效血量。
经查询得,90级该敌人的生命值为M=873976,那么减抗等效血量Sd为:

故在减抗60%后,神秘大丘等效血量为721w,等效比为8.25。

何为收益?
收益在伤害上表现为伤害的提升,那在减抗上就表现为减抗之后,相对于原来抗性下伤害的提升百分率。
◆推导思路:如上文所说的等效血量,将减抗之后的抗性系数H1与减抗之前的抗性系数H0相比,所得百分比即为减抗收益E(式2.8):

因减抗后的H一定小于减抗之前,所以E永远不小于0那么依据减抗之后的抗性R1与减抗之前的抗性R0的抗性区间,又可以衍生出6个分式子:

嘿嘿,是不是被吓到啦?
其实6个式子的本质,就是两个抗性系数HB和HT的商,再减1,抗性区间不同,用于计算的H的公式也不同,所以公式看起来会很杂,但实际上不难算。
常见的抗性与减抗收益,下表我已经帮你算好啦:

这些收益也可以通过图像来表现总体的减抗趋势:
减抗收益曲线

横轴:原抗性R0,纵轴:收益%整张表分为5个区,分别对应式2.9-2.13中的5个抗性情况,式2.14用于过于悬殊故不做展示。0%线:较缓的分段点,为R0减抗后恰好达至0%所致。
75%线:较陡的分段点,为R0减抗后恰好达至75%所致。
0%轴与75%峰:R0处于这两者抗性附近时,收益变化的幅度很大,尤其是75%直接将单调性反转变为单调递减。
不难发现,抗性越接近75%,减抗带来的收益就越大,反而超过75%后,收益没有原来的高,甚至是比原来都低。下面是整理好的经常会用到的高抗木桩数据:
常用等效血量实例整理


这里罗列一些有可能出现的问题:
1.免疫并非高抗,不是抗性非常非常高,而是一种叫做免疫词缀的玩意,通过使伤害无效化来达成免疫效果。
这东西见于元素生物、北风狼和讨伐上,免疫属性对应的抗性仍为10%/30%(北风狼),因为几乎没有意义,故表中直接以免疫代替。部分情况下免疫词缀可能失效(如联机)免疫抗性就是这么来的。
2.抗性不存在阈值,想多高多低都可以。
3.抵抗不是抗性,是对某种负面状态的抵抗,使其时间缩短的属性,如水使徒。
4.减抗的等效血量不比等效血量低,在高抗下,通常减抗等效都会比正常等效血量高很多,因为减抗的分子变小,分母升高,整体就高:需要减去很高的抗性方能使其低于正常等效血量。

5.对于减防和减抗该怎么选?
对于敌人,由于同等级防御相同,但抗性不同,我们做了较为简单的对比:

横轴:减X数量值;
纵轴:收益%。
不难发现,在相同数量级的减防下,如果抗性越接近75%,减抗带来的收益就越大,甚至超过或减防带来的收益,此时减防就略逊一筹;但在60%之后,减防收益提升,大幅超过减抗的收益。
故在敌人抗性不接近75%的情况下,还是优先选择减防吧;
但是,如果是种门这种的靠剧变打伤害的,不用管减防,盯着减抗就行啦。



