塔瑞斯玩法机制硬核攻略|数值大考底|全能与冷却篇(上)
修改于2024/06/13911 浏览综合
前言
全能和冷却的收益如何?冷却是怎样对角色机制起作用的?我们需要多少冷却和全能?
完整的看完本篇数值大考底,你一定能对塔瑞斯世界的游戏数值产生新的看法。加深你的游戏理解。

一、从理想状态看收益
先做一道简单的算数题。
假设一个理想技能包含所有的倍率影响,加成影响后,数值收敛不变,且cd=1s,设该理想技能为技能A,期望伤害=a,如果玩家a一直使用该技能,则dps=期望伤害/cd
故有:
Dps=a/1=a
如果全能与冷却的描述与实际收益符合预期,试算全能与冷却对dps的期望收益。
故有:
全能加成收益=dps(1+全能加成)
冷却加成收益=技能伤害/(技能cd(1-冷却加成))=dps/(1-冷却加成)
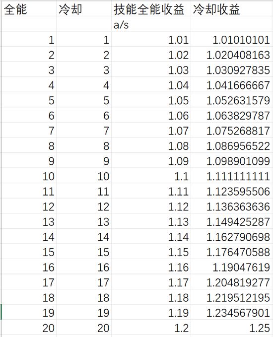
预计玩到110装等毕业大家的加成也就能到20~25区间内。我们拉表试算,结果如下:

结论:从上图来看,每百分1冷却收益略大于每百分1的全能。
当然算法模型也可以是这样,打了一整套n个技能,用时n秒,总伤害为x,dps=x/n,有了冷却缩减后,总输出时长变为:n(1-冷却缩减),收益为x/n(1-冷却加成)
冷却收益仍然为dps/(1-冷却加成),与之前的结果相同。
二、从游戏内的机制与天赋看冷却的收益
冷却是如何对角色机制起作用的,
1.核心天赋
每个职业上,天赋页右侧有一栏核心天赋,当属性到达每5%的门槛时,对技能有额外加成。每个职业收益不尽相同。
2.机制
从机制看全能与天赋潜在作用,说实话需要各位补充,这里起到抛砖引玉的作用。
但就从我玩过的诗人职业来说,冷却达到一定程度会产生质变的影响,改变输出循环!
这里举两个例子
(1)诗人激昂后的关键3s
诗人的小爆发是4技能激昂弹奏,获得3s的交响诗效果,这3s内使用3技能和弦不会消耗音符。所以一般都是提前攒好混色,开完4技能后狂按3。但问题来了,无cd加成的情况下,能按几次3技能呢?
答案是2次,如果算上消耗的一次,共2+1=3次。
(现在是公测第一天,3.5%的冷却,我的诗人没加速效果时,只能按出2下,总2+1下)
理想状态下,3s的buff,1s的公共冷却,能在buff持续时间内按3次最好,但实际上不可能做到。因为要加上:按键时间损耗、人的反应时间、游戏响应速度、设备帧率等一系列因素。1scd的公冷,可能花费的时间起码要1.1~1.2s。就算你是打街霸的格斗游戏目押高手,也做不到。
但在中后期,我们cd达到10%以上时,此时的公冷,就能相对轻松的做到按3次3技能和弦技能了。
别看只多了一次,在整个副本流程里,每次爆发多一次混色和弦就是云泥之别。
(这也说明为什么公测的天赋从原来的加速改成连伤是大削,这样要求诗人的养成难度更大了)
如果想在3s内放4次和弦呢?
3/4=0.75,大概需要25%的冷却缩减,大概正好是大后期能达到的!
策划给你算计得明明白白。
ps:特殊情况,图书馆副本内加速buff时,能爽按6~7下和弦
(2)火法质变点,5.5s的引线
玩过法师的应该明白,火法的机制是叠热能炸弹的层数。如何在5.5s内叠高层数,是所有火法的难题。5.5s的时间内,在无cd的情况下,也就堪堪够放5个瞬发技能。但如果cd多一点,5.5/6=0.92s,大概要10%以上的冷却就能放6个技能。5.5/7=0.79,大概20%的冷却缩减就能放7个技能,如果加伤火龙卷这样可以“冻结”1s引线的技能,20%的冷却缩减在6.5s肯定能打完8个技能!火法崛起指日可待啊兄弟们!
三十年河东三十年河西,我小炎法师必能一雪前耻!
其他职业是否有属性质变点呢?
这就留给大家来讨论了
本片攻略的上半部就是这样了,下半部锐意制作中。
欢迎加入哞哞人攻略交流群,和最硬核的玩家、数据佬、副本开荒专家交流,成为硬硬的人。
下半篇我们将继续讨论:
全能和冷却的和加点性价比,我们该怎么取舍
全能和冷却的实际收益
不同环境该怎么选择更优的加点方案

