中秋活动-广寒宫、龙王庙、返场商店
精华2024/09/125923 浏览攻略专区
🌕中秋活动—广寒宫
注:测试截图会与正式有差异,一切以正式为准。

位置:拍卖所右上方【人气🎈4000解锁】

位置:头像下方中秋活动图标
活动时间2024.9.12至2024.9.28日(16天)

(这个嫦娥好可爱啊⚈₃⚈)
本次活动板块分为:厨房、藏宝阁、排行榜、食材商店、典籍处(聪明的小伙伴已经猜出来本次活动主要任务就是做月饼🥮)

厨房
厨房:本页面有做饼皮、内馅的食材,在这里制作🥮

食材商店

特殊事件
❗️食材要钻买,可以直接从厨房页面挑选食材补齐购买或者在食材商店购买,还有每日特殊事件嫦娥仙子掉落食材礼包→

食材礼包
饼皮、内馅配方要用钻买,都是800钻石💎
可以不用配方就能自己做❗️❗️❗️
不要花钻买配方❗️❗️❗️

配方
按照上方配方做,以配方数量做的月饼🥮
例:晋式➕巧克力221+257=478钻获得99积分

制作过程
[下方表格仅供参考,有误差]

积分
做成功的月饼🥮可以前往典籍处点亮图鉴拿30钻石💎,获得的积分可以前往藏宝阁抽取宝贝

典籍处

藏宝阁
藏宝阁每个格子150积分,一轮30个格子,共5轮,全部拉满需要30*5*150=22500积分
用晋式巧克力🥮拉满需要22500/99=228个,花费228*478=108984💎
5轮奖励如下:
文物:瓷兔星辰4、唐月宫嫦娥镜星辰5、梅月嫦娥图扇页日月6、白地黑花兔纹盆日月10、金环玉兔耳坠天地15[每一轮一个文物]

5轮奖励
排行榜奖励如下:

排行榜
食材礼包:(个人觉得有囤钻可以不氪)

食材礼包
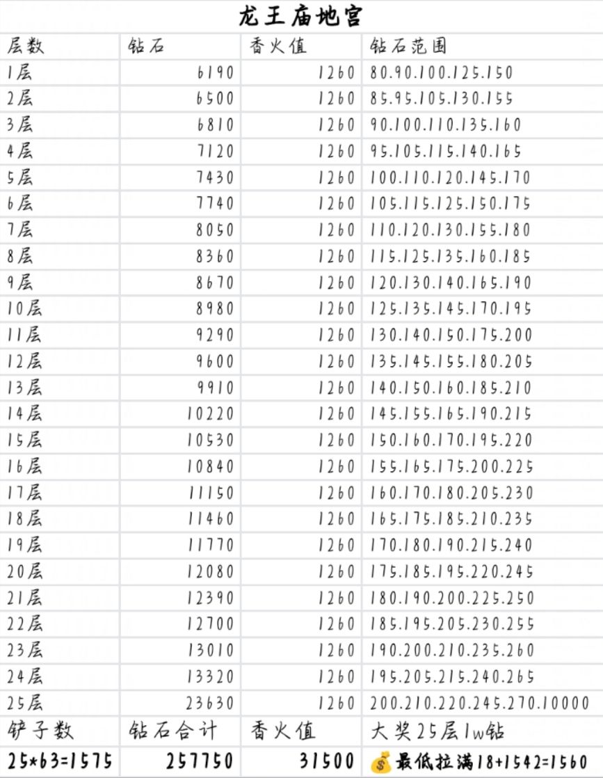
🐲中秋龙王庙

位置:街道图书馆右侧【人气🎈2000解锁】
活动时间:2024.9.12-14点至点2024.9.26-14点

本次新增返场商店
庙宇每格1积分、地宫每格20积分
庙宇:时令63🧹、孟章每日40🧹
时令露水10换1🧹(没必要)
免费15*40+63=663🧹(15天)
免费获得:
630积分
1低、1中藏宝图、1十选三、11梧桐木、1猫1犬1鹿精灵券、1钻石盲盒、1金扳手、1车票、11黄金、1咖啡、1花朵盲盒、1体力药水、11青铜、11灵光一现、11体力药丸、11强力磁铁、1089爱心【固定一层数量】
12猫粮、11犬粮、11鹿粮/11引流卡、11网红人气卡、11热点卡【一层的数量粮食或者流量卡,粮食占6层、流量卡占4层】
地宫:时令古遗铲63、铲子礼包
【友情提醒之前的铲子也可以兑换,1铲子=4古遗铲】

礼包
性价比:648>198>68>6
1>1.1>1.13>1.2
最低拉满:18+648*2+198+6*8=1560💰(不建议拉满)
【❗️❗️❗️拿到钥匙🔑就进入下一层】
氪金值建议:18r、18+648=666r、18+648*2=1314r
【文物可以等6个月后返场,18+198=216r起就是文物全兑换】

本期成就
中秋风格自建馆→660个格子[18r+648r=666r]

中秋风格自建馆
氪佬想拉满搞1314r那档先拿钥匙🗝到最后一层扫荡完再往上

积分商店

文物:7个文物—5400积分
18r拿天地20或者日月10、6
拿满文物18+198=216💰〈5490积分〉

🌻返场文物商店

位置:龙王庙入口右侧或者龙王庙快捷键返场商店【hhh我当上老板了🖤🐏】

返场商店
如果没有参与上次活动把所有文物拿完的,打包价18w钻石💎,有获得的文物、文物碎片会相对的扣除,不要单独一个一个买 用打包价有折扣!!!
瓜子的获取途径:每日点击阿九掉落3个瓜子、瓜子礼包购买,也可通过钻石直接兑换
1🌻=10💎

瓜子礼包

瓜子获取途径


