【3.11.0】Rks规则变动说明
投票修改于2025/02/183315 浏览综合
2月14日,Phigros进行了3.11.0的重大版本更新。其中,对大部分歌曲的定数以及Rks评分规则做出了调整。本文将对最新的Rks规则进行推测。
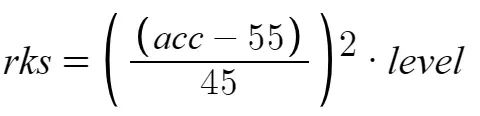
一、单曲RKS计算规则
本规则没有改变。
单曲rks=((acc-55)/45)^2 * 定数

图片来源:@烟火

右侧15.3为曲目定数,15.05为单曲rks,99.63为Acc
二、个人RKS计算规则
此条目有重大改动。
旧版计算中的b0位置被P1、P2、P3取代,即你所有打到Φ的曲子中最高的三项,原本的b19变为b27。现在的个人rks计算公式变为P1、P2、P3和b27中单曲rks的平均数。
什么是b0?
b0是在3.11.0之前,你所打的所有曲目中等级为Φ的曲子中定数最高的。

3.11.0之前b0位置
什么是P1、P2、P3?
你所有打到Φ的曲子中最高的三项。

3.11.0之后,三者在新表中的位置
最后上3.11.0的查分样例图

这是目前查分表的样例
三、推分建议
没有特别的建议,正常发挥就好。但是由于P1~3的出现,中下游玩家(比如我)要注意开始收上位的歌,即打高级别Φ曲目来维持自己的rks。不过仍然建议不要越级。


