【已开奖】年度大奖竞猜,谁是TGA 预言家?
修改于2025/12/155760 浏览综合
活动合集看这里一键查看活动合集
TGA 入围游戏投票如火如荼,不如增加一些投票的乐趣?
我们针对TGA提名入围的 29 个年度大奖举办竞猜活动,来找找谁是TapTap最牛预言家。
![[TapFamily_起飞]](https://img-tc.tapimg.com/market/images/7fafa347150d2068616d28ae0bcbb256.gif)
【活动时间】
2025/11/25 12:00:00 - 2025/12/10 18:00:00
【参与方式】
注意,12月10号下午6点投票正式结束,12月12号上午8点半TGA直播。
我们会根据公布各奖项活动名单,统计各位玩家的投票结果,投票结果将在本帖进行公布。
【活动奖励】
猜中15个TGA奖项获奖名单的玩家,可以参与瓜分5000元奖金!
【活动须知】
- 获奖名单将在活动结束后 7 个工作日内在本帖开奖,获奖名单公示 3 天,请参与活动的玩家们留意公示信息。
- 本次活动中现金奖励均由 TapTap 提供。页面所有展示金额均为「税前收益」,奖励金额将在收集完毕用户信息后的 30 个工作日内发放至创作者中心 — 收益管理。
- 活动期间至少发布一篇带活动话题的未删除未隐藏动态,且创作者中心绑定支付宝账号需与 TapTap 实名认证信息一致,否则视为自动放弃领奖。
- 若活动中奖人数过多,未达到最低提现额度 20 元,也欢迎大家多多参与站内的其他激励活动呦~
- 本次活动最终解释权归TapTap所有。


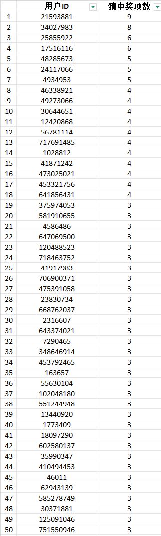
【开奖公示】
很遗憾,大败,目标定的太高啦!

所以稍微给猜猜中奖项数较多的玩家一点小奖励~
猜中奖项3个及以上的用户,公示期 5 个工作日后,每人发放 20 元CDK通用券
以下中奖的 50 位预言家:






![[表情_加油]](https://img-tc.tapimg.com/market/images/9de3085956af9905c5c28be43051a286.png)