[数值向][硬核]为什么大师兄速度这么快?浅析速度与行动间隔的关系
精华修改于2020/11/301.4 万浏览攻略
为什么风冲屡屡抢跑?为什么闪电鞭能击中两次?天下武功唯快不破!本文将从速度值和行动间隔的关系开始,一一为你解答这些问题!

随着大家角色等级和残章都肝上来以后,武学套路可能是中期玩家最关注的一环。
比如debuff控制流,推条拉条流,连击连招流,暴击爆伤流,破招反击流等等。

但由于游戏机制和公式计算还是一个 黑匣子。很多大佬有很好的想法,但大多都难以实现或受阻。
目前的攻略一般都是做定性分析,而不是定量分析。
所以我尝试从数值角度分析一下公式,从公式层面解释速度方面,武学/天赋的搭配和影响。权当抛砖引玉,给大佬们开个路吧~
太长不看版:
速度x-行动间隔y公式(误差0.01内):
y = speed(x) = 360/(x+200) +0.68
结论:
1. 速度并不是越多越好。轻功学2-3本就够了(满30级)。
2. 但是前期速度很重要。基本每人至少学一本《凌波仙子舞》。
3. 轻功天赋价值增高。尤其是神影无踪。
![[嗒啦啦2_吃瓜]](https://img-tc.tapimg.com/market/images/6eb1d083dff1c09692102cb5a98727f3.gif)
正文部分:
是真的很长哦,多图预警流量预警!
本文的思维导图如下,阅读时间约5分钟。Here we go!

一、什么是速度值,有什么用?
速度值,顾名思义,就是指 一个人快不快。
在回合制游戏里面,通常表现成出手顺序,和出手频率。
在本游戏中,可以在主界面-队伍-人物面板查看一个角色的速度。
贴一个女主的面板,速度在右上角可以看到。

而和速度值对应的,是人物的行动间隔(秒)。这个属性和速度成反比关系。
行动间隔可以在右上角属性说明看到:

通过堆速度值,你能得到的好处有:
1. 先手。回合制的先后手其实很重要,某些游戏直接先手定输赢(哦啦哦啦,小兔!)。
在侠客中,先手意味着:
a) 优先打出输出。我起了,一枪秒了,有什么好说的(狗头)
PVE方面:由于回合推移的关系,先手带来的优势会增大。
比如某些剧情如果打不过,可以反复横跳+拉开走位,15回合以后一巴掌带走。
PVP方面:
一是配合特殊机制。配合抽蓝套装,先手意味着提前抽蓝。一回合给你抽干净是可行的。 (六脉选手表示很淦)
二是可以提前压血线,干扰对手输出环境(比如辟邪的血量较低时影响输出)。在敌我数值差异较大时,甚至可以一招秒掉。
b) 推条扩大优势。侠客中是存在推条/自拉条的机制的。
推条比如少林的伏魔棍法,20级和30级都有推条词条。

拉条比如华山的狂风快剑,行动结束后自拉条。

当然还有其他天赋/武学有该效果,后续可能会出个汇总表(也可能咕咕)。
PS:推条拉条内测时的上下限是±40%,现未实测。
先手能够保证推条拉条发挥出最大优势,甚至做到 一人先手全队先手!
c) debuff机制
先手可以保证优先上debuff,限制对手的输出/辅助位。
理想中的我:我过去就是一套万毒心经 + 触发断肠销魂针,直接中毒100层拉满,输出-90%伤害,你没了!
(效果拔群)

实际中的我:沈潇潇自动使用了五虫毒术
(效果一般)

(有小伙伴打沈潇潇心魔遇到一样的情况吗,笑着流泪.jpg)
debuff机制有待深挖,是一个很有潜力的套路方向,配合先手会有奇效。
2. 出手两次。如果一个人很快,那么他有可能用排水渠过弯,别人没出手之前再次出手。
比如下图,一回合出手两次:

我一套接化发,很快啊,对手直接倒下了。这,就是闪电鞭!
PS:单回合内出手是有上限的,11.26更新:一回合极限可以做到出手三次。
二、 怎样堆速度?堆到什么程度?
既然速度很重要,那么怎么堆?是不是越高越好?轻功学多少本?
这些问题,如果没有数据支撑,大家都是盲人摸象,不断重复测试,很辛苦。
我们一个一个问题解决。
1. 怎么堆速度?
a) 学习轻功:这是堆速度的主要方式。比如基本人手一个的《凌波仙子舞》:

满级的凌波仙子舞+900点速度值,自带三个实用天赋,堪称轻功界的马保国老师(划掉,天花板)。
目前游戏主要有11本轻功(显示15本,我只找到10本)。
如果你已经收集完毕,可以点击主界面-收藏-武学查看。
b) 获取天赋:通过天赋变相加速。
目前的加速天赋有:极速,神影无踪,执子之手(加成极速1级,限风冲)

我们的冲哥为什么跑得快,就是因为不仅自带轻功神行鬼步,还有这些天赋的加成。这些天赋他几乎可以全都要,所以你可以叫他风跑跑。

c) 人物升级:每升一级会加速度值。
以15级的春花美少女为例:速度是367。

对比25级的春花老阿姨:速度变成了429。

我这么多年刷雪山认识到,人类的等级是有极限的。
那么满级速度是多少呢?来康康没学轻功的老爷爷:没错,是577。
11.26更新:不同人物存在差异。推测和人物卡初始品质相关。暗金掌门577

d) 重铸装备:装备能刷出速度值的词条(感谢 @横剑聆风雨大佬的补充)

懂了,这就去把速度洗掉(扇子,危)
![[嗒啦啦2_吃瓜]](https://img-tc.tapimg.com/market/images/6eb1d083dff1c09692102cb5a98727f3.gif)
2. 怎么堆速度比较好?(本文核心)
这也是我的问题。我们来探索下速度和行动间隔的关系吧!
我们来做个实验吧!
a) 实验准备:一只阿月,一本轻功(阿月能看懂的那种)。

b) 记录未学轻功时的数据:速度值-行动间隔:149-1.71


c) 雁行功,启动! 记录速度值增加后,行动间隔的变化:159-1.68

d) 重复bc步骤,直到取的点足够多, 整理成表格/绘制散点图:
表格统计:

绘制散点图:

好吧感觉还是不够多(只有32组数据),但有点累T T。
到这里其实就可以定性分析了:
初步结论:
1. 速度值和行动间隔成反比。
2. 前期堆速度值比较重要,后期数值衰减,没那么重要。
e) 进行曲线拟合
代入反比例函数公式:y = a / (x +b) + c,求参数a, b, c

其中:

考虑到数值公式应该是优美的(经验法则),对a, b进行优化: b取200时,a大概是360

再尝试 对a取360:

搞定!

得到行动间隔y和速度值x的公式:
y = speed(x)= 360/(x+200) +0.68
返回验证:面板值-理论值
速度值3466时:0.77-0.7782
速度值85时:1.94-1.9432
误差在0.01以内。因为游戏内的数据精度是0.01,可以接受。
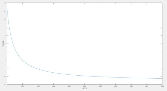
最后,画个公式图:

扩展:忘了在哪里看到的,系统回合的单回合时长是2s,那么根据用2s/行动间隔,应该得到角色的单位行动次数(即出手次数)。绘制图表如图:

PS:
1. 角色的单位行动次数不代表最终行动次数。比如你是2别人是1.5时,在体验上你是没有到单回合出手两次的程度的。
2. 单回合时间为2s这个忘了出处,欢迎各位大佬纠错/补充。
对公式求导可得:增益的衰减曲线

其中,横坐标是速度值,纵坐标是每点速度值的行动间隔减益。
结论:在0-1500范围内速度值收益明显,2500以后收益甚微。
终于推完啦!来个总结吧:
速度-行动间隔公式(误差0.01内):
y = speed(x) = 360/(x+200) +0.68
公式推出的结论:
1. 速度并不是越多越好。因为到一定值会有衰减,资源不如倾斜到其他地方。大概在速度2500-3500比较合适。这个速度值对应的轻功是2-3本(满30级)。
2. 但是前期速度很重要(0-1500)。基本每人至少学一本《凌波仙子舞》,最好有《玄机醉步》,不然可能会被闪电鞭击中两次(逃)。
3. 轻功天赋价值增高。由于后期堆速度对先手的收益大幅度减少,那么开局推条的极速和增加行动条速度的神影无踪对抢先手及其重要,尤其是神影无踪。参考金X的集气速度计算,可以考虑资源多倾斜在这方面(风冲:正是在下!)。
三、关于速度的边缘讨论
1. 天下武功唯快不破?不然。你可知有一门从天而降的内功:

分析:
由于擂台上打先手的不一定内劲强。比如风冲是灵巧方向的,那么四海独尊功就很好地克制自拉条的机制。
只要你内劲够强,快也是能破的!
(此处一位六脉选手悄悄走过)
招式武学相互克制,没有最强只有更强。这也是我的侠客这个游戏的魅力之一。
讨论:面板说的是“开局进度条前进”无效,那么常驻增速的《神影无踪》天赋是否有效?
这是个可以测试的问题。
2. 轻功简析:
a) 凌波仙子舞:轻功T1,满级体质+390,速度+900,2速度天赋+1防御天赋。基本属于人手一个的轻功。

b) 玄机醉步:满级体质+390,速度+940,1速度天赋+1防御天赋+1玄机门天赋。高面板好天赋,是好的选择;

c) 水上漂:满级体质+300,速度+790,2速度天赋,比起玄机醉步,90体质+150速度值能换1级神影无踪,感觉有点香啊。11.26更新:排序优先级可能高于玄机醉步

d) 神性鬼步:满级体质+240,速度+600,1速度天赋,极限先手备选。 PS:武当的梯云纵和这个几乎一模一样的属性加成,凑神影无踪可以学。

e) 雪中行:满级体质+210,速度+540,特点是10.8%的反击率和8.0的爆伤。
由于反击和爆伤的攻略我做了一点,认为这个数值不足以弥补面板的劣势,不推荐。

另外5本轻功也粗略看了一下,感觉强度不够高,也不是某个套路必备,就不去分析了,感兴趣的大佬也可以自行查看。
总结一下:

【更新日志】
1. 更新了1回合出手的极限次数:目前测出能出手3次;
2. 更新水上漂的轻功优先级:优先级大于玄机醉步(个人向)
3. 11.26更新了4本其他门派的轻功,我都过了一遍,不建议学。
4. 倒是玄机醉步和水上漂的优先级可以考虑下。神影无踪1级8%,2级10%,4级15%。
【题外话】
由于本文作者水平有限,撰写较仓促,加上数据众多,数值型攻略更容易出现错漏的问题。
而且攻略具有时效性。如果有错漏之处,请不咎指出,感谢!
感谢@飘飘凌云,@横剑聆风雨,@萧风,@小小婠,@雪花糕 各位大佬的指导和帮助,非常感谢!
![[嗒啦啦2_谢谢]](https://img-tc.tapimg.com/market/images/61999387776037cfa13ee118987a1b8a.gif)
推荐婠姐的新攻略 掌门对决,感兴趣的小伙伴可以看一下:
如果你对 六脉感兴趣,可以看下我的另外几篇攻略:
如果本文对你 有帮助,请为我点个赞吧~码字不易,求点动力,拜托啦阿里嘎多!
![[嗒啦啦2_谢谢]](https://img-tc.tapimg.com/market/images/61999387776037cfa13ee118987a1b8a.gif)
我是微信2区行云流水,281072319,偏好数值和武功机制方面的探讨。欢迎多多交流~


