运斤成风------硬核贴
修改于2021/12/131.3 万浏览跳坑宝典
大纲
出装选择
攻速问题
蓝耗问题
生存问题
---------------------
一,出装选择
运斤成风4件套 + 雷霆呼啸靴
戒指: 华戒,团本戒指
项链: 开放选项
武器: 开放选项,推荐霸王斧(伤害最高)
霸王斧,翼飞,横扫斧,根据自己伤害和手感选择。
霹雳斧伤害很低,不推荐。
词缀
范围>物攻>急速>体质
武器,锋芒或破甲
手套,株连,唯一选项
帽子腰带,生命+护甲,或者护甲+护甲
衣服,远减,唯一选项
首饰,锋利,最优选择
项链,无畏,唯一选项
鞋子,破甲,唯一选项
神降属性
武器:50%穿透
3%提升不明显,如果选择锋芒武器,50%破甲则非常必要。
手部,200%爆伤,200%终伤
鞋子,200%急速,终伤
衣服,老样子,各种减伤词条堆起来
头部,驱散负面状态
戒指,团本戒指出项链词条,所以选择50%减伤
腰带,击杀精英增加物理攻击力
项链,没有神降的
任意部位需要奥数激荡,火系双重祝福减蓝耗
成型穿搭展示

法盘1

法盘2

天赋:斧头天赋
连携:魔战士>超负荷
---------------------------
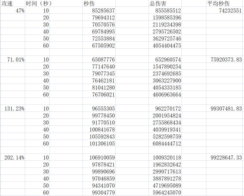
二,攻速剖析
测试为白板装备,重置天赋,折磨桩(避免神降词条干扰),只改变攻速,其他一切条件不变,打桩一分钟,每10秒取一次秒伤和总伤,最后取平均秒伤,因为每秒内伤害都有波动,所以取值为每10秒的第一帧。



实验具有误差,131%和202%攻速伤害几乎无差。但47%到71%再到131%攻速,伤害提升明显。
以下是实验数据来源视频

实验结论:攻速对斧头提升很大,但是在120%+攻速以后被内置CD锁死伤害。
虽然在120%+攻速后,急速提升对伤害没有收益,但实战中更高攻速意味着更快回血和回蓝。
-----------------------------
三,实战指导
如何解决蓝耗问题
输出手法:横扫接普通攻击循环,保证伤害同时,通过高攻速的普攻用奥数大师回蓝,目前其他任何回蓝手段都供不上斧头的耗蓝。
跳坑,包里放一把横扫斧或翼飞,清小怪奇效。法盘一,刺客出门,左上角赌黑,转奥数大师。法盘二出门,左下角转奥数大师,赌刺客。
刺客盘赌奥数大师伤害最高,但赌不出来奥数大师可以直接退出,空蓝就只能找个角落发呆。第一层反复赌奥数大师,赌出来之后才能继续下层。
以下是法盘1,刺客盘没有奥数大师展示(缺蓝)

奥数大师盘出门,不缺蓝,但伤害只有一半不到(牺牲了刺客和范围)。但是手感极佳,攻速更高,中盘可赌刺客或者虚无。打挑战,如果不是站桩boss只能选择法盘二。
以下是法盘2,奥数大师盘没有刺客展示(不缺蓝)

奥数大师配合奥数激荡,加上火系双重祝福,蓝耗问题就不再是问题,主要靠赌。
以下是赌成功的实战视频
没赌上的话,你们就脑补一个空蓝绝望的斧子在角落瑟瑟发抖、、
四, 生存抉择
运斤成风套,相对开放,当生存出现困难,可以选择放弃输出,做一只肉斧头。
可行思路:
1. 斧头天赋换成残忍。斧头高额的物理伤害提供了大量的护盾。
2. 项链可以放弃吴桑,选择根性制约等防御向项链。
3. 雷霆呼啸靴可以换成玄武腰带。血量上天。
4. 法盘2出门赌虚无
斧头只要放弃伤害,其实可以要多肉有多肉,只要战场不超时。。。
--------------------------------
最后,提一首
费劲难把套装凑
空蓝角落瑟发抖
横扫普攻累成狗
只恨没长三只手
全堆伤害不够肉
玄武残暴真的秀
群殴毒打眉不皱
战场超时眼泪流
副本组队把人求
伤害丢失真怵头
刮痧通关不用愁
运斤成风舞千秋

