易玩(上海)网络科技有限公司
公司地址:上海市静安区灵石路 718 号 B1 北楼
注册地址:上海市闵行区紫星路 588 号 2 幢 2122 室
投诉举报邮箱:kefu@taptap.com
官方尚未发布新赛季开启时间
官方维护延迟:修复工作量较大,导致原定的开服时间推迟
谁知道这短短的一分三十二秒带给我的震撼感
裂了,我羊🐑了,,头快晕无了。手脚冰凉😭
老东西回来了
那个那个体育生还能获得不
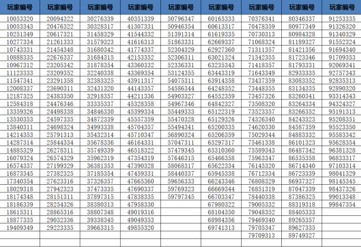
解冻账号补偿公告丘
亲爱的工程师:由于服务器系统故障,导致部分没有使用外挂的玩家账号遭受封停影响。对于此次故障造成的体验不佳,我们表示诚挚的歉意,并正在努力恢复中。针对此次误封的玩家,系统将给予500源石补偿。本次账号解封、补偿名单如下:用户编号共8位数的名单如下用户编号共9位数且首数为 1 的名单如下用户编号共9位数且首数为 2 的名单如下用户编号共9位数且首数为 3 的名单如下用户编号共9位数且首
官方我知道你在,这种外挂啥时候封?
源哥的一条视频证明了我的构想的有效性
他打在暗黑星云打占点,刚传送过去就被雷炸没了然后他又放雷阴别人
可笑
我TapTap玩这个游戏是在2021年我甚至小米有个第一赛季的号。我重新回坑,看到一些派对。我不明白作者创作有什么目的。它既不能使人快乐,也不能使人喜爱。感觉作者挺反人类或者有些厌世。或许有些心里变态吧。我一直以为这是幼稚的行为。题外话.我记得曾经迷你这种折磨人的房间有很多。没想到现在重装也有了。重装就像一个迟暮的老人何不能让它走的安详一点
更新!
哦哟咧!
痛死了,
甲沟炎发作了,化脓了(大悲)