西方外典最终话boss打法
1.要求一:学妹,克雷斯,米拉,尤利人均五星2.要求二:学妹装备无畏舞步,米拉装备急速冲击降智,尤利带上加血技能3.阶段一的特点是50%锁血,锁血后行动两次并且伤害越叠越高,应对方式是锁血前打Af条,锁血后AF带走4.阶段二特点是对翅膀高抗性,打完翅膀才能打本体,本体25%锁血,锁血后三对翅膀重生并提高各个技能伤害,应对方式是加抗性,降智,加血保证,攒条,AF打掉第一轮翅膀,本体就会变得很菜
狂风荒乱 风回生ex个人攻略合集(5.11修订)
视频已上传,风回生纯配布真的很好打①感谢光景大佬和巴哈提供的怪物数据和机制②天冥要求均不超过16天冥③风回生简单很多,因果回生才是重头戏④⑤能过的队伍很多,有天冥支撑可以压缩轮次,灵活变通即可◇难点主要是石化 睡眠两种异常,石化无效 虹防具 睡眠无效徽章可有效解决,星之子 专武罗洁塔 解异常技能也可针对⑥前为通杀配布火魔队,后为通杀梦见火队一、【配布火魔队】(0冥卡里尤即可)☆其
中二185小黑
水吸收不能上魔队真的太难打了,抄了论坛很多作业配置伤害都没打够,最后还是自己摸索出来了一套人鱼全程唱神剧保命,普莱每到如来神掌的时候就免罪符,慢慢磨打了几次终于磨过去了,我恨水吸收
这些传闻都是在哪儿做呀?没有攻略呀。
as杜伊展示
国际服今天上线的as杜伊,光速抽到后体验了一把体感强度中规中矩,打队本身也没什么超模的输出...出战前的分析:自身回合结束后积累1层钟摆,累计5层后全部消耗进入爆发状态(5回合),获得必爆+技能强化,状态结束后可重复攒珠开启。五星技“魅幻蒸气”满足条件时使用可直接攒满5层。(是你,高度集中状态!)魅幻蒸气:单体水打,自力、速50+转为对方弱点属性(是你,复写炼金!),敌方存在增益时直接力速拉
基本最短路线,开了一个路障,少打一个怪。视频为4天泰坦妹,很容易。#攻略
1
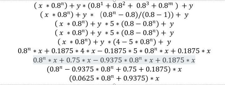
电锯队伍血量计算
总算是把公式弄出来了电锯妹队伍,在没有常胜之杯<武器>的加持下,只带猫猫和专属宠物,经过n次战斗后,当n趋近∞最后全队的血量会一直恒定在当前满装备时最高HP下的93.75%x:为当前满装备的时的最高HP;y:为每次战斗完成后回复的固定值x*0.25*0.15=x*0.1875,这就是后面0.1875*x替换成y,计算原理就是宠物开具回提高25%的最高HP,然后猫神是基于当前的最高HP回复15
【攻略】中后期武器装备介绍及推荐
图中信息并非绝对正确无误,请客观参考以下图片,方便大家对未来装备的发展有个大致的概念,对装备选择有个基本的判断,选择装备时请结合实际。——本文转载自,侵删其他攻略:①②
【ES 玛丽埃尔挑战】龙神:又来
每次更新都来异世界撸两遍 龙神山猫实在是委屈/边辅边c 打弱挺好用的/可以锁血抗伤触发hp低下 交由队友斩杀/适合欺负大头的说/#另一个伊甸