电锯队伍血量计算
2023/06/201822 浏览攻略
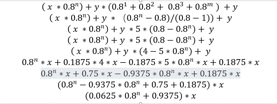
总算是把公式弄出来了

电锯妹队伍,在没有常胜之杯<武器>的加持下,只带猫猫和专属宠物,经过n次战斗后,当n趋近∞最后全队的血量会一直恒定在当前满装备时最高HP下的93.75%
x:为当前满装备的时的最高HP;
y:为每次战斗完成后回复的固定值x*0.25*0.15=x*0.1875,这就是后面0.1875*x替换成y,计算原理就是宠物开具回提高25%的最高HP,然后猫神是基于当前的最高HP回复15%;
如果前排队伍没有战后回血的支撑,只有猫神加持,全队保持在20000/93.75%=21333
如果前排有部分战后回血效果,假设没带战后回血的队员总HP是Z,那么其他可带了战后回血的队员总血量要堆到2000-Z*93.75%
我的血量控制

此图为例泰坦和电锯是全攻击,无战后回复,阿猫啊够都给了常胜之杯,我只要保证阿猫啊狗再带常胜的同时总血量堆到13748就保证每次必有50珠。
目前配队,我没有用毒痛,都是用的致命,背袭,和上级属性灵晶,目前跑图都是选择的mast,只要不吸收,都是盯着耐性一路狂奔,有个图是耐水火,可以把狗1(伊法)换狗2(军师)
fear我单独有个配队再这个队伍的左右两侧

只要不是吸收火,两T收走
两个常规配队,横走MAST全图

