《旋转音律》三周年全徽章 插图解锁指南
旋转音律以重力感应为特色,玩家需要通过旋转手机以完成谱面演奏,是市面上绝无仅有的体感类音乐游戏。这次周年更新了几个隐藏活动徽章大家都拿到了吗?下面给大家带来了《旋转音律》三周年全徽章/插图解锁指南!大家没有拿到的可以参考一下!《旋转音律》三周年全徽章/插图解锁指南注意事项:1.伊洛徽章是所有徽章的前提条件2.周年徽章和伊洛徽章不是同一个,详细下文会说3.所有曲子挑战不限制难度4.下列
《旋转音律/Rotaeno》入坑教程
大家好啊,这里是鹤酱。昨天呢,《旋转音律》这款游戏成功上线国服,我作为国际服开服老玩家也算是开心了一把,毕竟有种看着儿子长大了的感觉(划掉)看着自己喜欢的一款音游能被很多人熟知,也是非常开心。这里呢,就写一个教程,不敢说是最详细,但一定会尽量把我自己的经验告诉大家,让大家在入坑的时候没有那么多的障碍。我不算什么高玩,rating也不高,非常一般,目前的理论rat已经到16.6+,不过最近回坑也
两枚隐藏徽章获取方法!
其实很早就有了看到这里没偷偷发发()一. 你好世界(图1)以2.1速按图2.3.4的次序打歌即可获得(/ω\)(图2.4位于基础曲包,3位于音波狂潮包,需要旅行者徽章解锁)二.天Q(图5)佩戴徽章“你好世界”,打图6歌曲至S+(即980000分)即可(歌曲位于基础曲包,为活动曲目,没有的需要打活动随机到或流光碎片解锁)注:以上均需打IV谱面解锁૮₍♡>𖥦<₎ა#旋转音律 #旋转音律
投票【新人看这里】旋转音律设置系统介绍和使用方法
写这个帖子是为了帮助新入坑的驾驶员熟悉一下这款游戏,同时也帮助各位新人了解一些专有名词和常见问题,这篇文章可以有效解决常见的问题,请在询问之前确认看完本帖。本帖包含如下介绍条目,你可以通过快速翻阅并观察蓝色大标题,来快速定位具体内容关于设置游戏音符音效其他1.关于设置设置顾名思义,就是对游戏内各种参数的设置,包括延迟时间,Note大小,背景亮暗等。认真进行设置,会较大提升自己的游玩
有无大佬知道为啥锁60帧?设备小米13pro,能开的设置都开了,然后我发现15pro有个叫“停用游戏的默认帧速率”的开发者选项,但是13pro没有,咋整呀
隐藏曲/隐藏剧情/曲目解锁的QA
转自官方驾校群Q. Let you DIVE 和 BATTLE NO.1在哪里,我这没有啊? A. Let you DIVE是玩家等级到了15级之后自动解锁,BATTLE NO.1E是玩家等级到了30级之后自动解锁,并且解锁后都会放在【主线歌曲】里 Q. 伊丽莎白×伊洛 如何获得? A. 需要玩家在15级解锁Let you DIVE之后,将包括Let you DIVE在内的所有WACCA联
关于《Rotaeno》的一些成就
三个徽章成就获取方式如下:超速驾驶:以游戏最高流速(8.0)游玩一首任意难度的曲子并取得全连飙车J!ang:以游戏最高流速游玩一首由J!ang制作的谱面曲子早起鸟:游玩KALPA联动曲包中的My Heaven,其中Perfect的范围内只能有Early(尽量多点),不能有Late
早起鸟总算打出来了✌︎' ֊'
试了好几次,总算打出来了,yes!歌曲选择 KALPA联动曲包 里的 My Heaven。不要选难度一,难度一刷不出来。(难度一我刷了六七次,发现是early数量刷不够)最少要选难度二,速度可以调低一点。只能有early,不能有late。不要求全连,可以有good,不要求全perfect。early感觉60或者70以上就可以。
三周年全徽章/插图解锁指南(也可以指北)
#旋转音律 #旋转音律rotaeno 这次周年更新了几个隐藏活动徽章,今天刚好有时间去拿了,遂来做一个攻略——————————————注意事项:1.伊洛徽章是所有徽章的前提条件2.周年徽章和伊洛徽章不是同一个,详细下文会说3.所有曲子挑战不限制难度4.下列所有内容中的“伊洛徽章”特指三周年的“Broomstick advanture! - 伊洛”徽章,而不是其它——————————
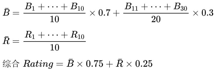
b30和r10对推分的作用(后面附加各种奇怪问题的解答)
如果对rating,b30,r10等名词、单曲rating的计算方法已经了解,那么请继续向下看,如果不太了解请看我上一篇帖(不然这篇帖可能看不太懂):里面有对这些词的详细解释。下面开始进入正题:如何快速推分:已知音律值由b拔和r拔组成,提升音律值的两个办法很容易就能看出来,就是提升b30和r10。由于r10不稳定,会随着你的成绩下降,所以我们平时推分,需要提升的一般为b30。提升b30的方法