易玩(上海)网络科技有限公司
公司地址:上海市静安区灵石路 718 号 B1 北楼
注册地址:上海市闵行区紫星路 588 号 2 幢 2122 室
投诉举报邮箱:kefu@taptap.com
论剑群雄以及坠星屿
谈一下这两个。为什么要把这两个放在一起呢?因为这两个都是涉及到pk以及守擂。众所周知回众所周知,回合类游戏往往是先手要占据优势,因为先手的话,一技能可以秒杀对手一部分弟子。因此pk中最重要的就是先手即速度。我总结了一下速度的几个来源。 第一装备加成,装备词条内有速度的优选。6个装备一个秘宝一个神器,都优先选取加速度的。神器的碎片传承器魂,可以在坠星宇内兑换。第二,炼丹优先加速度,丹药全供主c
只谈开局!
首先说一下,《我要当掌门》这款游戏对于低氪度的玩家还是很友好的。游戏内的福利和奖励完全可以满足于日常用度,甚至略有盈余。因为咱不是有钱人,所以这里咱只聊V3以下的话题。给新来的玩家和准备上手的玩家一些建议。首先游戏区服的选择:《我要当掌门》这款游戏每5个区服为一个战区,首战区为个位数字1和5的区服。例如31区,个位数字是1,那么他就是首战区。一般首战区的氪金大佬比较多,其中不乏
落霞宗V0-V4攻略(二):第一天及第二天注意
因为篇幅字数的原因,第一天的注意事项有很多没有写,这里就书接上文,会补充一些第一天的注意事项。第二天关键词:升建筑,升建筑,升建筑:1.买资源。升建筑就需要资源,虽然第一天资源较多但是后面升建筑需要大量资源,所以第一天开始就需要买资源。大殿10级可以买黄色5.5折的建设资源。大殿20级可以买4.0折的建设资源。很多攻略也提到了每天必买资源。至少前7天,每天赏赐助力礼包和4.0折的建设资源必买。2
【新手指引】武学图鉴04外功——长兵篇
“门派包打听”继续曝光武学图鉴情报!链舞天地,棍扫乾坤!本篇为外功——长兵篇记得收藏备用~~~——————🚀🚀🚀——————【掌门秘籍】指路👉游戏预约:玩家交流群:
浅谈一下游戏小技巧
1.每天点赞排行榜会有铜币领取,每天可以给弟子点击点赞激励。2.精炼石,宝石合成,人物重置(通过重置其他4个上阵弟子培养主c)功法突破要等到每日的活动,这样更划算。3.上阵法5个弟子,培养至亲传即可,激活第3条减回合属性即可。多余礼物给挖矿。4.不要过早的更换弟子主c。除非资源够数,要不然换了之后也会很弱鸡,而且更换主c需要大量礼物,导致礼物无法给挖矿弟子加成弱发育慢。5.前期归元居不要升
浅谈小氪佬开局攻略(二)
计划v10上官,却不知如何将资源利用最大化?上回说到开局雪刀是否入坑,今天继续开局充值经验,也欢迎各位大佬在评论区交流指正。一、开拓礼(至阳神功和红客卿碎片,还有一些中级、高级精炼石、元宝、银两、弟子突破道具溶洞石髓等道具) 隐秘在商城角落的开拓礼,正如其名,得早买早享受。乍一看只有30元一档,但是买完之后会出现更高档位的礼包,一直到648。全买之后可以获得一本完整的至阳神功,在前期可以如鱼
浅谈小氪佬开局攻略(一)
计划v10上官,却不知如何将资源利用最大化?看了论坛很多攻略,没有找到合适的攻略,于是请教了岳阳楼等老牌玩家,特分享小氪佬攻略。碰巧遇到新区,就从头开始写起吧。首先开局避坑!!!选择了隋无错开场,那么328的雪刀白震云可以避开,因为后期可以白嫖直接送,前期又上不了场,只能当黄金矿工。(当然了,如果是氪佬,或者就喜欢雪刀,那就可以直接入手)月卡什么的基础氪点就不说了,直接干货走起。关于
来自一个v5小卡拉米的攻略-建筑篇
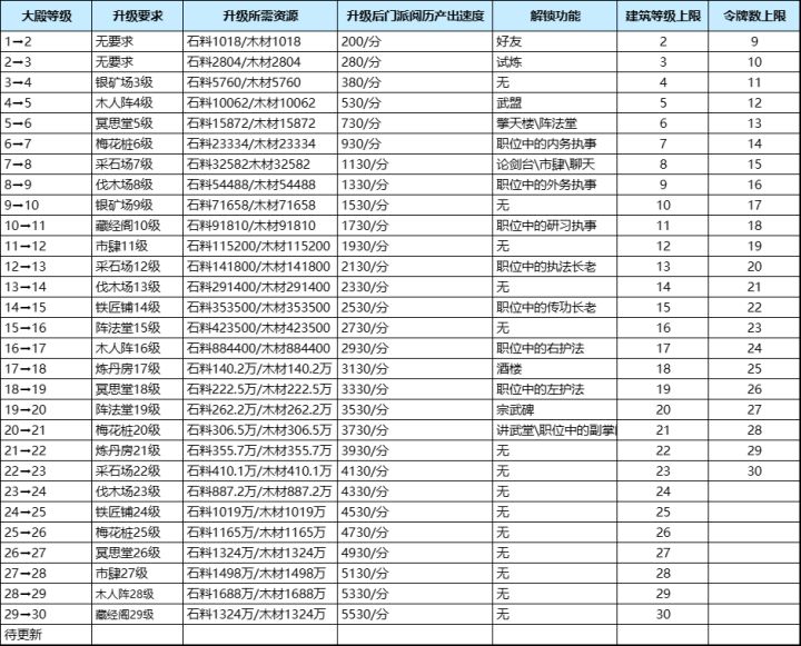
游戏都是周五开新区,开局把兑换码用了之后起码两天是不会缺材料的,前期建筑消耗很少,所以看什么顺眼升什么就行,当然也就前面两天可以,等三天后要有规划了,可以看图一的表,q群大佬总结的升级消耗。 等到了23级之后,解锁第三个矿脉,就可以停下升大殿的步伐了,可以停个两天升下矿脉,我是大殿23之后升矿脉,然后把主c给重置了,主c这时候的礼物只给有好感加成的,其余分出去升绿色弟子的好感等级,绿色升完了就升
来自一个v5小卡拉米的中低氪攻略
大家好,我是ios28区的白玉京,从一开始什么都不懂到现在也算是知道了一些,现在给大家一些建议,希望大家可以以最少的代价拿到小傅。 这个游戏开局v3就可以了,不用v5开局,v5拿到黄蓉了礼物不够上内门的,别说亲传了,所以v5开局没什么必要,杨过同理,如果准备玩个几个月或者半年以上的,开局整杨过没什么必要,除非后面一直接着氪,那样也不用什么攻略了,直接膜拜大佬! 回归正题开局基金98,双月卡12
如果你还不知道怎么抬战力,请进!(二)
6.讲武堂,这是一个人人都可以通过心得和银子就能获取高额战力以及技能的地方,升级到10级讲武堂可不是非常容易做到的事情,可以通过升级获得躯不坏特效,这是玩家推塔pk的神技!有躯不坏在,就有一切可能!7.兵甲,这个功能也是能加海量战力的,玩法为抽卡,前期适当投入还是可以拿到非常多可观的属性的,后面获取战力会越来越难,相同的卡片会变成积分返还,也是一个持久战的玩法,祝大家十连抽必出橙卡!8.阵法,