易玩(上海)网络科技有限公司
公司地址:上海市静安区灵石路 718 号 B1 北楼
注册地址:上海市闵行区紫星路 588 号 2 幢 2122 室
投诉举报邮箱:kefu@taptap.com
还有公告里面说的兰德洛德可通过探索活动关卡获得活动积分「诗人」与活动货币「南瓜灯」。累计获得美酒「诗人」可解锁大师技能书、「赤红法则」武器图纸、活动纪念称号「夜风中的叙事诗」等奖励; 作者:宝石研物语_伊恩之石 https://www.bilibili.com/read/cv19338472?spm_id_from=333.999.list.card_article.click 出处:bilibili中的赤红法则,还好我玛格丽特没有造犬书,用的茶杯书,这次赚了。虽然是图纸
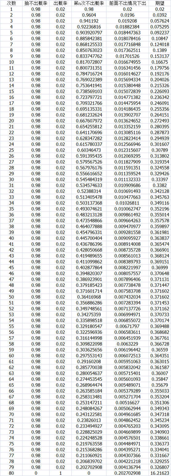
简单计算下出货期望
第一张图为白票池出金期望40抽第二张图为金票池出金期望32.6抽出货次数期望为期望列求和
金币不缺,就是缺点水晶,不该抽奖,都没刷图了,全靠扫荡
呜呜呜呜呜呜呜呜呜呜呜家人们我运气太非了!先不说刚开服那天三十抽的五花角色和限时召唤的三次五花角色我在常驻召唤中召唤了不下100次但现在我只有艾特五花*2玛格丽特五花*4伊斯贝拉五花*3兰米娜五花*2然后!我就没有过五花角色了!(悲呜呜u呜呜呜呜呜呜呜呜呜呜呜呜呜呜对了!最近没有什么动力了主线4-23我一直打不过去有大佬告诉我该怎么搭配吗(可以的甚至可以把武器,宝石和配饰都告诉一下最近一次打4-23是艾特,玛格丽特,伊斯贝拉和莉莉好难搞啊 :(
请问这个游戏有日常获得幻之石或者许愿卷的方法吗,一周能有几抽啊
rt
emmm……一个问题……我记得内测时营地里有一个什么剧场?,现在是没有了吗
今天三轮猜拳还没开始就结束了,三轮首负😂
奈何老夫没文化,四套纯白闯天下一天刷到四纯白,推图闯关害怕谁?
艾特八级好感度居然没邮件礼物嘛
实话,困难模式可以难一点,剧情模式那么难干嘛啊,4个50级,装备都是+10,第四章最后一关,前排刚打死我就被团灭了,什么离谱东西啊