易玩(上海)网络科技有限公司
公司地址:上海市静安区灵石路 718 号 B1 北楼
注册地址:上海市闵行区紫星路 588 号 2 幢 2122 室
投诉举报邮箱:kefu@taptap.com
【我的勇者】攻略征集长——期——开启!来取周边。
勇者们好,我是阿兔~(PS:某宸代转发)最近有许多萌新勇者加入了战斗的行列,阿兔十分欢迎!但勇者城外危机四伏,现有的人力也不足以为新来的勇者们一一介绍这个世界。因此,为了给新来的勇者们一个适应的过程,以及适当的引导,阿兔需要扩大先驱者的规模来更好地服务大家!阿兔决定开放攻略征集活动!优秀的作者将会获得加入先驱者的机会,还会掉落隐藏的周边、限定时装等奖励噢!征集背景根据自身游戏体验,集合先
【精品攻略导航】【萌新向】全职业新手起航攻略合集
萌新向【魔界岛简易攻略】【作者:吃瓜群众】https://www.taptap.com/topic/13196210【新手武器教程】【作者:陆某】https://www.taptap.com/topic/13081551【法师成长攻略】【作者:氟西丁】https://www.taptap.com/topic/11526738【萌新入坑指南】【作者:凋零的华丽】https://www
莫拉格斯小妹妹~
这是上期中奖小伙伴的奖品~莫拉格斯特别版~嘿嘿,下一期猜猜猜同样会给出特别版黏土自制魔女手办哟~期待一下吧~
【论坛活动】【已开奖】端坐,品茗,幽香似缤纷回忆,摘取记忆中一角为她谱写新的故事~!
往事浓淡,色如茗,已品。经年悲喜,颜如镜,已鉴。温一壶乡愁,将往事喝够。谁念西风独自凉?萧萧黄叶闭疏窗,沉思往事立残阳。杯酒氲染了晚霞,沉醉了清风,抚慰了湖泊……却忘不了往事秋风昔日已成往事,最难忘便是清晰如昨。 一路窈窕,留下丝丝温情,点点欢乐,片片忧愁……——————————————————————————活动概要◆记录你游戏历程中的一幅有趣时刻(游戏截图),并搭配一段文字,使
【游仙门】第一届游仙门内外门测试服资格考试~~(已结束,并结尾含答案)
———————————————————游仙门测试服资格考试试题本次考试为闭卷考试,请关闭游戏~~一、综合选择题(每小题2分,共20题40分满分)1. 超越级的武器魂卡性格有几种?( )A.4 B.5 C.6 D.72. 全职业通用技能有几个?( )A.1 B.2 C.3 D.43. 魂卡一共有几个种族?( )A. 6 B.7 C.8 D.94. 激活冰之杜门的最低水攻要求是多少
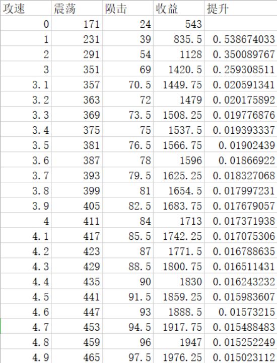
木忍世界boss魂卡搭配以及双仙王武器到底值不值得做
通过上面的图可以看到 我的cd只有37为什么呢? 经过计算 木忍在组队且队伍有领域法的情况下 36cd葬送闪的冷却时间为4.8-5.8秒之间这就说明 我们在组队时不需要过多的cd 可以把多余的这些换成其他更有用的属性所以有这种卡的小伙伴就不要觉得这是垃圾了(当时出了这卡时我还骂了一早上 嘻嘻~)这是最上面的图里面所有的魂卡 可以看到 之所以一张冷却卡还能37冷却 多数还是靠副属性(这种搭
【勇者日报】简易的通用水晶战场攻略
首先是水晶战场护甲最强 6740王者1 6540王者2 6340王者3 6140王者4 5940王者5 5740翡翠1 5540翡翠2 5340翡翠3 5140翡翠4 4940翡翠5 4740钻石1 4540钻石2 4340钻石3 4140钻石4 3940钻石5 3740(友情提示,你打的局是根据你和对方的最高段位来判定,所以会出现有时候打的动,有时候刮痧的情况
[我的勇者-攻略] 游侠魔界岛版本整体攻略(木游侠为例)
木游侠魔界岛前期思路现阶段,三个流派的游侠都能玩火游侠,定点伤害爆炸木游侠,推图最舒服aoe高水游侠,暂时实战有点拉跨(但是能打这期的世界boss)首先明确,先做木系容易推图,所以我在这优先做前期木系的打法攻略前期:由于木系三件套效果带毒,可以节约一个技能位置,推图能力大幅度提升,所以我们要优先做出游侠的三件木套在这之前,没有普攻上毒时,技能这样带:从第三章开始推魔界岛,此前在这
来来来,你们要的手办。。
阿兔,你快来看呀。。。
【全系法师攻略之雷法6.10】深埋不改凌云志,一聚雷枪便是皇(萌新向过度向辅助向)
自魔界岛开放以来,人手基本上一个的雷法。近期因为各种职业的增强和出现,已经开始不吃香的刷图职业。然而还有很多雷法爱好者,所以,我这里再更新一期雷法的小攻略。这个攻略我会偏向萌新向,引导萌新用法师刷图和用雷法过度新职业。—————————欧拉欧拉欧拉欧拉—————————首先是装备篇(因为是过度向所以一律选择25、26等级装备就可以了)戒指:选用赌狗戒指【属性选择,爆伤属攻护穿】因为雷枪和