易玩(上海)网络科技有限公司
公司地址:上海市静安区灵石路 718 号 B1 北楼
注册地址:上海市闵行区紫星路 588 号 2 幢 2122 室
投诉举报邮箱:kefu@taptap.com
【我的勇者-攻略】
不玩勇者
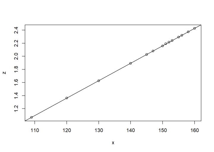
★数据向★150层怪物护甲测试数据
续上次100层怪物护甲数据测算→https://www.taptap.com/topic/7674063100-150层数怪物护甲如下关于100-150层的新词条(元素强化),实际上的额外降低伤害的减少比例受自身伤害来源对应属强较高比例的加成,即对应属强越高,减伤比例越高。(就现有数据猜测设对应属强为x,对应减伤为x/(x+350)或者每10属强,对应减伤1.02%)地狱魂卡怪物为第18组护
雷牧,现以一阶毕业,说一下如何新版本快速回到巅峰
补充一句,雷牧现在打不了木桩,没有回复手段,会被卡神罚,技能还少两个没出来。所以推荐没耐心的不要玩雷牧哦,下面是输出图,只能证明神罚有这个当一线输出技能的资本。秒伤的话大概有稳定的500万,就是不用启动不用感电不用手柄 ,没有伤害丢失。可以说是比上版本非常大的加强了,上版本那些七八百万的牧师,实战伤害应该都自己有数。然后说一下发育篇需要两个东西,红钥匙,紫钥匙,没错现在最值钱的就是钥匙,红钥匙洗
啊,我来写写下关于二阶的boss吧!
二阶总共有19个小boss,每个的攻击方式摸清楚然后总结还是挺不容易。所以麻烦将就看看吧1.毒液歼灭者攻击方式1⃣️向四周发射黄色的子弹2⃣️一段时间内的移动过程会留下绿色的胶水,玩家踩中绿色的液体会被固定较长时间。3⃣️boss移动到地图的上方,向下射出激光4⃣️低血量时,boss会在释放激光的同时突然移动(区别于之前激光速度更快)5⃣️不间隔留下胶水,在地图内来回移动。个人观点
从现在开始,这里叫做赌狗广场!——自制一个赌狗戒指
自从上次648买了30张卡没出货以后,我就在积极的思考如何通过玄学方式提高成功率。于是乎我想到了我可以做一个真正的能戴在手上的赌狗戒指。首先我们来做一个可以戴在手上的指环部分,我原来打算用餐巾纸然后用502硬化来做这个部分,直到我看到了旁边的一根USB数据线。妈见打?不存在的。拿斜口钳剪完两刀以后就变成了这样一段正好可以在手指上绕一圈的长度。然后用热熔胶把它们首尾相连,做成一个指环。做完指
疯藤游侠竞技场冲分进,论如何在法爷横行的时代把法爷干下去。
首先你要有个四星RPG,带上歼灭。利用四星和平使者(RPG)的效果,让歼灭能格挡子弹的时间有10s。要带些减cd魂卡保证自己打boss能在歼灭释放完能刚好又能释放。这是我的面板,减cd是26刚好够的。没有也不要紧,一两秒真空期相信你们能行。思路是利用歼灭格挡boss的子弹,让boss扣不了你的倍数。次要格挡小怪关子弹,让自己吃魔法球时更安全。因为我个人boss是打不到五亿的,带了个歼灭伤害稍微
关于更新后冰站与攻速。后面有我个人的新冰站理解
经过个人测试得到的数据 手里拿的水枪基础1.6频率【这里频率取的是面板值 为约小数点后一位 没有那个技术去更精确】补充表格 不管是狂气项链(描述是30攻速)还是奇遇鞋子(描述是30攻击速度)都是和魂卡一起算的 30攻速1.9频率 60攻速2.2频率但是叠加猛砍(描述是每层加移速和1攻击速度)30层就不一样了 频率要另算3.3-3.4的攻速就可以无限触发虚空项链 懂我意思吧 0.3秒无敌配合
勇者文章接龙ing
皓月当空,在被称为主城区最高建筑的紫禁城上。二人对着清冷的月光,隔空对视。“田上望,没想到你居然真的会来,退隐江湖的你,如今竟然应我的挑战来到此地,也注定会死在此地!”白衣飘飘,男子取出怀中的酒壶,痛饮一口。“……”田上望却沉默无声,将阴影中的长枪抽出。只见月色如霜,枪身如银。“来的好!”男子不急不忙地把酒壶放回怀中,喷出口中的酒液,在剑身上附带了炎炎烈火。“我悍马纵横江湖十余载
【干货】关于50电力在魔界岛各章节的收益统计
为了测试,作者将5级以下符文全部分解了,全部能量房间,虽然暴率会有误差,但是50电力纯能量房间所得的数据,大体上还算准确【第二章】关卡25,掉落的全部是1级符文,50电力的收益大约是500碎片【第三章】关卡45,已经开始掉落2级符文,50电力所得515碎片,差距不大【第四章】因为卡在第四章的玩家较多,此次在四章特地测了两个图,我们可以看到,30级装备掉落的房间只掉落3级符文,收益也在5
我不做游侠了!青蛙
自制视频(已加滚动水印)