武器改造的详细解释与思路
修改于2018/02/222.2 万浏览综合
前言:之前有群里的新人问我主角武器怎么改造,于是我忙活了几天,总算把最新版本的武器改造详细攻略总结出来了。
以下正文:
1.92.3版本除弓箭外所有武器秒伤的计算公式:

弓箭武器的秒伤公式:

注意事项:
1. 武器伤害=白板伤害*强化等级(1+X%,X:最高120)*改造伤害(1+X%)
2. 武器秒伤*各种伤害加成最后得出来的结果就是主角的秒攻击,也即是武器秒伤越高,主角秒攻击越高。
3. 弓箭武器的速度装弹<攻速时按攻速,反之按装弹
4. 20级满级的改造下:攻速是104.80%,装弹是157.20%。但实测实际攻速只有面板的1/2,装弹只有面板的1/3,也即是都只有52.4%的效果
5. 每次改造升级都会有伤害加成,每次大概是*1.01倍,也就是说不管你改造的是不是伤害,武器的伤害都会增加,最高120级,也即是*2.2倍
6. 改造后的武器会比改造前的白板武器公式低1.09倍,所以把改造后的武器的公式由上面的1.2改成*1.1就好了
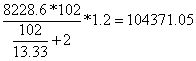
首先拿一个白板的武器来验证下以上公式:

白板怪物武器的秒伤害:

然后拿一个改造后的武器来验证:

改造武器的秒伤害为:

得出结果和面板秒伤误差只有千分之五,这下完全可以确认这公式的准确性了。
另外,我们验证下弓箭的公式:

弓箭武器的秒伤害:

是不是觉得很神奇?下面我会为大家讲解如何改造。首先,这个游戏的改造有7个选项(我只讲满级的):伤害(+104.80%伤害)、攻速(+104.80%攻速)、装弹(+157.20%填装速度)、暴击率(+57.64%暴击率)、弹夹(+275.10%弹夹容量),还有魔法和铠甲因为不加秒伤害而且用处不大就不赘述了。然后把所有改造的组合列举出来:

这是以白板怪武为例,每一项对应的数字代表占有几个改造项,比如4表示有4项都是这个,最后得到的底下的数字表示当武器伤害为1的时候,武器的秒伤害是多少,显然越大越好,高亮的10个是总共206个组合中能够达到秒伤300的10个组合,为了方便比较单独列出来:

有人可能会很好奇,秒伤差距表现在哪里,我会详细作一个对比:


这是2组改造组合的面板,是

和这个

我们来看看差距有多大

相同的伤害量,最终秒伤却相差了80.6亿。我先解释一下主角的秒攻击组成:
秒攻击=武器秒伤*各项加成
那么由此可知,两个改造组合相差了80.6亿秒伤再乘上千万的伤害加成差别不同的改造就变得非常的庞大的偏差,可见改造多么重要。
最后我再给大家一些部分武器登顶的改造:



ps:多谢hana提示,在蓝宝石攻速和装弹没满之前,最佳的武器改造应该是3伤1暴1速1弹夹
下面的新人如果还有什么不懂的可以提问或者加群531385342,我可以手把手教你~

