浅析防空机制:防空圈单次判定击落概率与累积击落概率对时间的表达式及击落时间期望[已修正]
精华修改于2020/05/053059 浏览研究与脑洞
“Mathematics and Physics rest beyond the boundaries of Loong’ s magic” ——Pythagoras · Akizuki
继上一个帖子:
本体镇楼

如果说战列的舰炮对决、驱逐的白刃相接看的是技术的话,那么空与海的碰撞则三分看属性,七分看运气。舰盟的防空机制与WOWS最大的不同点,或者说前者标新立异之处,在于引入了概率击落。正所谓,只要运气好,河内能棍中途岛;只要缘分到,兰利强撕辽宁号💔(滑稽)不过相信各位初中都学过“大数定理”,尽管不排除小概率事件连续发生的可能性,从宏观上看,防空炮取得的战果又存在一定的规律与必然性。本文将从击落概率、击落时间期望两大角度浅析舰盟的防空机制,聊为抛砖引玉吧。
放在前面的Definition:
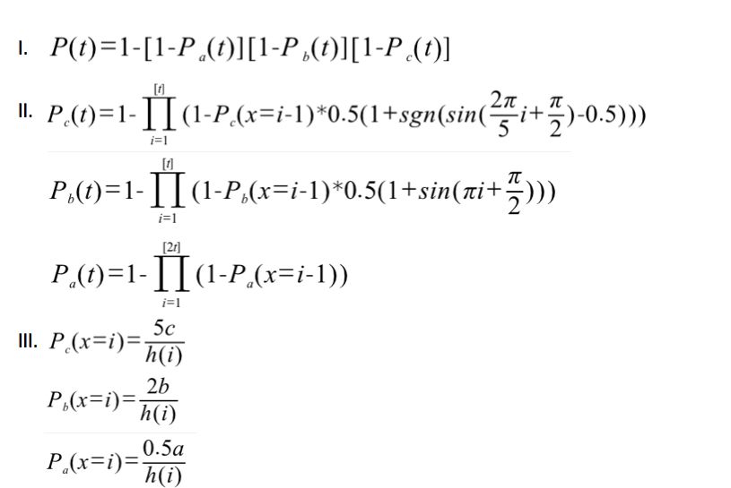
这里所说的概率有三类,P(x=i)对应的“单次判定击落概率”实际上属于条件概率,也就是在“前t-1秒未被击落”的条件下,“第t秒被击落”的条件概率;P(t)对应的“累积击落概率”,在数学上就是第t秒时飞机处于“被击落”状态的概率,这一函数是对“单次判定击落概率”的累积,因此我称之为“累积概率”,这样不太专业但应该更好理解;剩下那个与第一个很像,都是第t秒掉落的概率,但不同之处在于它是“前t-1秒未被击落,第t秒被击落”的绝对概率,这一参量主要用来算数学期望,没有实战意义。
目前准确防空圈机制有如下特性:
1.各防空圈独立索敌,概率击落,独立判定。每个防空圈都优先锁定最先进入攻击范围的机组,直到其被击落或离开范围再切换目标。一艘拥有三个防空圈的船理论上最多同时攻击三个机组,但无法手动锁定机组。
2.防空炮可以理解为100%命中的副炮,第一发同样需要装填,先判定,后扣血,扣血永远比判定滞后一个周期。因此本文数学推导中的时间t以n秒末为准。
3.每秒的独立击落概率为b/a形式的分数,分子是每次攻击造成的伤害。每次伤害等于秒伤乘以周期(e.g.岛风外圈秒伤29,那么每次外圈射击造成29 x 5 = 145点伤害),分母是当前飞机剩余血量。受到攻击时,飞机耐久度减少。
这个定义看起来比较奇怪,没有什么科学逻辑。其实这个函数在飞机只受一个防空圈攻击时可以化简:累乘式中前项的分子与后项分母正好相消,因此累积击落概率可以表示为bt/m形式,即击落概率与总伤害“正好”成正比。同理,战斗机缠斗也可以等效为承受防空圈的伤害,只不过秒伤并不恒定,因此战斗机缠斗的击落概率与时间成线性关系;开始的一段时间内,击落概率与时间成正比,直到双方出现减员为止。
为什么“正好”呢,因为这个函数本来就是这样构造出来的,程序员在设计之初考虑的就是,在每个周期内,累积击落概率与时间线性相关。但是当飞机同时受多个防空圈攻击时,由于各圈判定和扣血周期不同,因此实战判定的表达式就非常难看了,实际的累积击落概率并非与时间成线性关系。
4.防空武器射速只与防空圈有关,外圈5s为一射击周期,中圈2s,内圈0.5s。
5.每个机组同时只能有一架飞机受攻击,该机被击落后则切换至下一架,直到全部被击落为止。受损伤的飞机在降落后恢复耐久。
用数学语言来翻译一下吧(下式省略推导过程):
定义:a对应内圈秒伤,b对应中圈秒伤,c对应外圈秒伤(如果没有内圈的话,秒伤就是零),m对应目标机组的单架飞机初始耐久,t表示攻击持续时间(未取整),h(t)表示t秒时飞机血量
公式会自动被吞,故所有函数以图片形式展示(虽然看起来复杂,但本身机理就是简单条件概率问题,因此推导过程省略,当然,欢迎大佬们验证计算并予以斧正):



由于同组飞机的累积概率无继承关系,因此击落整组飞机的时间可直接用此结果乘以飞机数量
按照现有公式,所有船对特定防空圈内机组的击落时间数学期望均可求出。
下一期预告:顶驱点灯时间数学期望表


