【毒药法术作用原理】9项实验让你怀疑你从未用过毒药法术
精华修改于2020/05/273946 浏览攻略
本攻略详细讲解“毒药法术”,从“叠加机制”、“伤害机制”、“减速机制”、“逃逸机制”这4大方面着手,并设计9项实验加以证明,最终得出9条结论揭示毒药法术作用原理。

温馨提示:本攻略篇幅量极大,阅读需要大约20分钟,且部分内容所需基础知识要求较高,请“谨慎”决定是否继续观看。未经说明,所有时间单位都是“秒”,距离单位都是“格”。
先给出结论和配套视频,然后根据需要决定是否继续观看下面的实验。
1.在使用一瓶毒药法术的情况下,从最初始到最高状态的时间是12秒。离开法术时衰退速度是增加的2倍,上限6秒。
2.在伤害增加阶段,敌人的受伤速度是呈二次增长的。
3.多瓶法术投放时状态增长更快,最高伤害和减速效果取所有法术中等级最高的一瓶。
4.为简便计算,毒药法术总伤害可以被先三次后一次的模型近似计算。
5.一旦获得毒药状态,则必定受到全额减速效果,对英雄和部队都全额降低移动速度和攻击速度。
6.只要中毒状态存在,效果无法被更弱的所取代,哪怕原先更强的法术光环已经消散。
7.毒药法术对英雄只有5%,但可以受到100%的减速效果。
8.无需迎敌时,毒药范围内的敌军会主动逃离毒药范围,逃离路线根据现存的光环计算,大概率按照最近路线逃跑。
9.西瓜投手(熔岩发射器)的碎西瓜(熔岩)效果相当于毒药法术,没有减速能力。
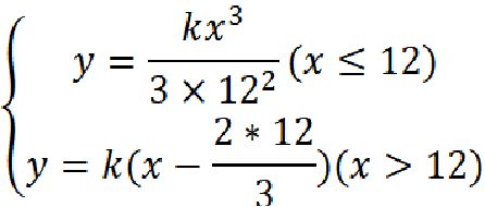
然后给出敌军受到 总伤害y 与 时间x 和 毒药的最高伤害k 的近似计算公式,在一定程度上可以满足精度需求。

本攻略配套视频,请放心食用,时长约18分钟,请在WiFi条件下观看。

攻略分为4大模块,共9项实验,将分配在以下几个楼层:
2楼:模块1——毒药伤害叠加规则
3楼:模块2——毒药伤害机制
4楼:模块3——毒药减速机制
5楼:模块4——毒药逃逸机制以及附加模块
感谢各位能够看到这里,攻略制作已经有1个月有余。从实验设计,录制过程再到数据处理,每一步都在努力地将这个法术讲清楚,争取能够更生动形象地用语言将其特性描述出来。
这瓶法术远比各位想象的复杂。本攻略尽管有充分的事实依据,但并不能保证完全准确无误的解释所有的机制。部分实验因为受限于测量条件和游戏限制而无法做到更精确的测量,也因为作者精力问题也难以做出成百上千次的测试,仅仅只是取了极端情况进行测试。
不管怎样,能够完整地看完攻略,说明你是愿意了解毒药法术更深层次的机制的!希望借助这个攻略,能够为后面毒药法术的使用提供坚实的理论基础。
在本攻略制作过程中,以下玩家提出了不少建议。在本文的最后,作者一并感谢:



