艾妮萌蛇女对比
修改于2021/08/072160 浏览实用攻略

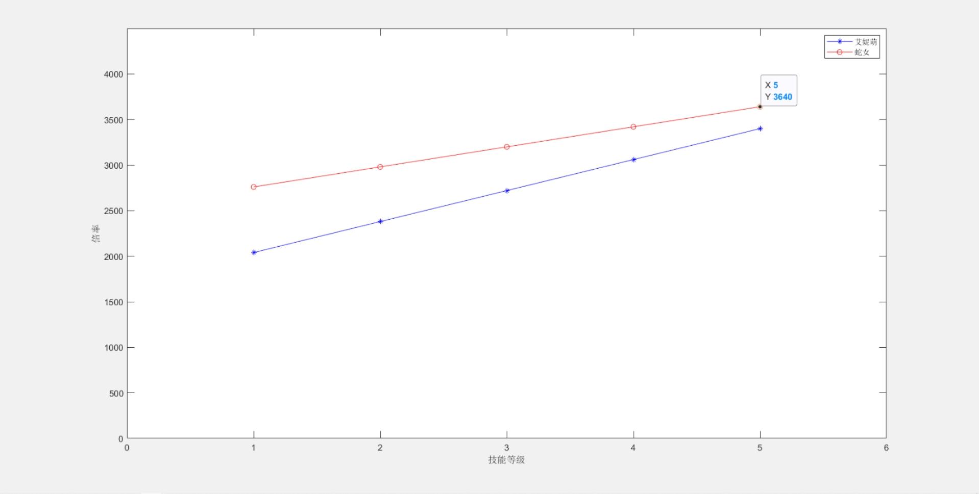
大概计算了一下艾妮萌和蛇女各个技能等级满buff层数后12秒的伤害倍率(无视艾妮萌被动加伤)

然后是计算了艾妮萌被动,并且从零开始叠buff的30秒的伤害倍率(技能552)

可以看出艾妮萌进场18秒内伤害倍率高过蛇女,但是18秒后便被完全压制,并且由于毒伤效果的特殊性,实际使用的情况两者差距只会更大。而且蛇女还有着不影响伤害但却十分实用的控制被动。
说起来现在的艾妮萌还是加强过的,如果是之前的三费秩序技结果会更惨。
ps:没有辱的意思,只是抽到之后测了下数据,然后分享一下。计算可能会有所偏差,看个大概就行了。实际上满练的艾妮萌并不会比蛇女差太多(,有爱还是可以练的。![[嗒啦啦2_乖巧]](https://img-tc.tapimg.com/market/images/e1c24f8566fda8255009cae7e503676c.gif)
![[嗒啦啦2_乖巧]](https://img-tc.tapimg.com/market/images/e1c24f8566fda8255009cae7e503676c.gif)



