伤害与攻击防御的基本关系及相关推论(重发)
精华修改于2020/07/135135 浏览主线攻略

2020/6/12补充
根据25楼神经蛙的测试,破甲射击自身忽略护甲效果、快速射击及瞄准射击对破甲射击UP的忽略护甲加成、棕熊玩具忽略护甲效果,这四者之间为加算。
2020/7/4补充
修正 各类加攻击/伤害效果叠加关系 部分关于鼓舞的计算方式
修改 破甲加伤害效果量化 部分内容
2020/7/13补充
修正 关于BUFF生效时间的描述
添加相关鼓舞攻击力计算方式的链接
首先说一下关于之前帖子被删一事,我已经向官方询问,官方回复说以后不可以以任何方式透露先行服的解包内容,包括数据文档,时装图片,宠物模型等这些文件,否则论坛永久禁言。之前帖子开头我放了一张先行服解包的图片,可能就是被删帖的原因。现在我已经将自己以前发过的存在没出现在游戏中的内容的帖子删掉并且以后不会再发相关帖子,同时也提醒各位玩家不要以身试法。
还有一点要说的是官方提到的这些不允许发的内容描述的并不是很清楚,可惜我想要向官方再仔细询问的时候,官方不再回复我了。我主要想知道的是这个数据文档是不是指的就是我下面要发的内容,因为我从来没听说有人发过关于数据文档的内容,我自己也根本不会分析这个东西,不知道官方为什么要特意提一嘴。保险起见我这里声明一下,以下内容全部由游戏内正常战斗数据分析获得,与解包没有任何关系。
废话说完了,下面开始正文部分,篇幅较长,想只看结论的可以忽略非粗体部分。
1.伤害与攻防的基本关系
乌拉拉的伤害计算公式与魔兽世界类似,公式如下:
........伤害 = 攻击 * 系数A / (系数A + 防御)
其中系数A为一与攻击方等级正相关的系数(以下简称A),A与攻击方等级的对应关系可参照下表,此表数据由大量战斗数据分析逆推获得。

下面用一个例子验证一下。
为了排除各种加攻击效果的影响,这里把宠物以及卡牌羁绊下掉,并且退出队伍。实际攻击力等于面板攻击力110551,怪物防御为181331。


人物等级为99级,查表可得对应的A值为49693。代入公式。
........伤害 = 110551 * 49693 / (49693 + 181331)
因为有大陆天赋,这里还要再乘以1.02。
........伤害 = 110551 * 49693 / (49693 + 181331) * 1.02 = 24254.9
与实际伤害对比一下。

由于取整方式的关系所以存在一定误差,计算结果与实际伤害基本相符。
2.各类加攻击/伤害效果叠加关系
2020/7/4补充
以下关于鼓舞的描述存在错误,由于情况比较复杂,我将重开一贴详细讲解。
2020/7/13补充
这里讨论的加攻击效果包括:
....咔哒牌羁绊攻击力
....鼓舞攻击力(2020/7/4删除此行)
....队伍光环攻击力
....刺客本能天赋攻击力
....食物攻击力
....黑猪布林玩具
....技能(如作战、草丛)
2020/7/4
加伤害效果包括:
....克制
....元素结晶
....大陆天赋
....加速伤害
....特殊怪物被动技能
攻击力的计算方式为先将以下各类攻击力相加
1.面板攻击力
2.咔哒牌羁绊攻击力
3.鼓舞攻击力(2020/7/4删除此行)
4.刺客本能天赋攻击力
5.食物攻击力
6.队伍光环攻击力
其中前5个都为固定值,重点说一下食物和队伍光环。
食物加攻击力为(自身面板 - 宠物协力 - 咔哒牌攻击力) * 食物加攻百分比,也就是说宠物协力及咔哒牌提供的攻击力不受食物加成。
队伍光环攻击力为(自身面板 + 食物攻击力 - 咔哒牌攻击力) * 5%,也就是说咔哒牌提供的攻击力不受队伍光环加成,食物提供的攻击力受队伍光环加成。
将以上攻击力再带入红茶老师提供的玩具技能加攻效果叠加关系公式中即为最终攻击力,相关内容可以参考红茶老师的以下两篇贴子,这里就不赘述了。
由公式可知上面列出的6个加攻击效果全部都受玩具及技能的加攻击效果加成。
下面再说一下这5种加伤害效果:
1.克制
2.特殊怪物被动技能
3.元素结晶
4.加速伤害
5.大陆天赋伤害
其中1、2两项计算方式很简单,直接乘在伤害上即可。
........伤害 = 原始伤害 * (1 + 克制百分比) * (1 + 特殊怪物加伤害技能百分比)
克制百分比虽然战斗记录上显示的是整数,但实际是按有小数位计算的,克制的计算公式可以参考这个贴子。
克制与元素结晶的叠加方式为:
........克制 = 原始克制 * (1 + 元素克制百分比)
下面说一下加速伤害和大陆天赋伤害,这两个是相加再乘到伤害上的。
........伤害 = 原始伤害 * (1 + 大陆天赋伤害百分比 + 10%)
最后说一下穿透结晶,穿透结晶不影响非暴击伤害,仅影响暴击伤害及被攻击时承受的伤害。
以上就是各类加攻击/伤害效果叠加关系,篇幅太长,这里就不举例验证了。
2020/7/13补充
以下关于加速BUFF生效时间的描述存在错误,暂不清楚是我原本的结论就有问题还是后来游戏更改了机制,现在的BUFF生效时间应该就是状态栏上显示的时间。
(2020/7/13删除此段↓↓)
另外顺便提一下加速BUFF生效时间的问题,实际上这个加速BUFF的生效时间并不是按照状态栏上显示的时间来的。它的生效开始时间实际是弹出收益窗口的时间,如果在战斗中或者马上要遇敌时(5秒内)加速,收益窗口不会立即弹出,这种情况下加速buff也不会立即生效。如果在没有弹出收益窗口的时候进入BOSS战(在马上要遇敌时开加速会出现这种情况),此场战斗是没有加速BUFF的。不过虽然BUFF生效的时间后延了,但这并不会影响BUFF的整体持续时间,也就是说在一些情况下状态栏上显示已经没有加速BUFF了,这个时候可能BUFF还没有消失。所以正确的做法是从收益窗口弹出时开始打满5分钟。
(2020/7/13删除此段↑↑)
3.破甲加伤害效果量化
有一种说法称破甲的破甲百分比即为破甲的加伤害百分比,这种说法是完全错误的。下面从伤害公式推导一下破甲的加伤害百分比。
........无破甲伤害 = 攻击 * A / (A + 防御)
........破甲伤害 = 攻击 * A / (A + 防御 * c%)
上面的A为伤害公式中的系数A,c为减甲后剩余的防御百分比。
两边作比可得:

经过化简可得:

由以上公式可得出两个结论:
a.破甲加伤害效果与防御/A正相关。
b.破甲加伤害效果存在理论上限,上限为 1 / c% 。例如20%破甲的加伤害效果极限为100 / (100 - 20) = 1.25。
上式中A与防御均不是固定值,因此破甲的加伤害效果也不是固定值。那么实战中破甲伤害与等级有何关系呢,刚才说到破甲加伤害效果与防御/A正相关,下面先看一下A及怪物防御相对于等级的变化曲线。

橙色为怪物防御,蓝色为系数A。由于没有测得108级以后的A值,因此108级以后的A值为估算值。
2020/7/4补充
150级附近估算值与实际值有较大差距
由图可知怪物的防御增长率远远高于A的增长率,而破甲加伤害效果又与防御/A正相关,因此破甲加伤害的效果随着等级增加有逐渐增大的趋势。这就是为什么随着等级的提升破甲技能的伤害相比非破甲技能的伤害增长率明显高很多。
下面再看一下破甲伤害具体数值曲线。

由于A与自身等级相关,防御与怪物等级相关,而自身等级与怪物等级无固定对应关系,因此此图以105级自身等级等比对应120级怪物等级绘制。与实际情况可能有一些差别。
2020/7/4补充
150级附近估算值与实际值有较大差距。
暴君龙防御修改,因此更换了上表。
以下关于暴君龙的描述错误。
由图可以看出,95级前破甲伤害稳定上涨,95级以后上涨速度变慢,127级以后由于怪物防御增长率放缓导致破甲伤害有所下滑,由于最后一关有一个防御超高的暴君龙,因此结尾处又有一次暴涨。
3.各类破甲效果叠加方式
这里测试了棕熊玩具减甲、技能减甲、以及三角龙玩具减甲。
棕熊玩具与技能减甲为加算。例如20%破甲的破甲射击与33%破甲的棕熊叠加为53%破甲。
由这个叠加方式可知,棕熊玩具给破甲类伤害技能的效果要优于给非破甲技能。
三角龙减甲与其他减甲为乘算,例如棕熊破甲射击与三角龙叠加为1 - (1 - 53%) * (1 - 15%) = 60%破甲。
破甲射击up的减甲以及多个三角龙的减甲叠加方式暂未测试。
2020/6/12补充
根据25楼神经蛙的测试,破甲射击自身忽略护甲效果、快速射击及瞄准射击对破甲射击UP的忽略护甲加成、棕熊玩具忽略护甲效果,这四者之间为加算。
下面列举一些情况下的减甲数值。

4.等级压制量化
由伤害公式 伤害 = 攻击 * 系数A / (系数A + 防御) 可知,伤害与进攻方等级正相关,那么具体是多少呢。
这个不太重要,这里就不给具体计算过程了。
每一级的压制伤害随等级提升而缓慢降低。
100级约为1.021(即101级打100级怪伤害为100级打100级怪的伤害的1.02倍)
120级约为1.018
150级约为1.014
计算105级对120级怪的压制伤害方法如下:
1 + 0.018 * (105 - 120) = 0.73
这里再强调一下,穿透结晶不影响非暴击伤害,仅影响暴击伤害及被攻击时承受的伤害。
注意,以上数值及公式均为估算,仅供计算压制等级较低时作为参考。
5.肉盾职业高守护宠与高克制宠的取舍
由于变量太多,这里先估算下100级守护宠和协力宠对应的防御减伤。
假设面板防御为15W,守护宠守护为1.3W,协力宠守护为1W。
假设对应的怪物等级为115级。
........守护宠对应减伤率为1 - A / (A + 16.3W) = 69.2%
........协力宠对应减伤率为1 - A / (A + 16W) = 68.9%
差距仅为0.3%。
而克制提供的减伤差距很少有低于1%的情况,所以绝大多数情况肉盾职业都应该优先选择高克制宠物。
6.穿透结晶与元素结晶对比
首先对比一下攻击时二者的具体表现。
前面已经提到穿透结晶仅影响暴击伤害,也就是相当于加暴击、命中和破击属性。关于暴击率和暴击增伤的计算方式可以参考神经蛙的帖子。
这里简单介绍一下,暴击率的计算方式为:
........暴击率= 暴击属性 /(系数B + 暴击属性)
其中系数B为一与被攻击方等级正相关的系数(以下简称B),B与被攻击方等级的对应关系大致符合二次函数:
........系数B = 9.2931 * 被攻击方等级^2 - 296.62 * 被攻击方等级 + 3615.7
破击率与暴击率的计算方法类似,暴击增伤为破击率 / 2。
........暴击增伤 = 破击属性 / ((系数B + 破击属性) * 2)
........暴击伤害倍率 = 1.5 + 暴击增伤 - 怪物暴击减伤
由于暴击和命中的收益难以量化,这里仅计算暴击增伤的收益。
........暴击伤害 = 无暴击伤害 * (1.5 + 破击属性 / ((B1 + 破击属性) * 2) - 怪物暴击减伤)
........穿透暴击伤害 = 无暴击伤害 * (1.5 + 破击属性 / ((B2 + 破击属性) * 2) - 怪物暴击减伤)
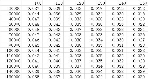
下面列出一些情况下 15级穿透增加的伤害 / 无暴击伤害 的数值。

由表格可知随着等级的提升穿透结晶的伤害收益会缓慢降低。
非15级穿透可根据15级穿透数据等比估算,或带入公式计算。
元素结晶的收益计算比较简单(忽略牧场)。
........克制 = 原始克制 * (1 + 元素克制百分比)
........伤害 = 原始伤害 * (1 + 克制百分比)
过程就不写了。

元素结晶伤害提升率仅与原始克制及自身结晶等级有关,以下是3%元素结晶的部分数据。

在考虑刷暴击的情况下,现阶段元素结晶伤害提升率是低于穿透结晶的,甚至还不如破击结晶。
被攻击时的情况就简单说一下。
穿透结晶可以根据前面的等级压制数据估算,元素结晶收益跟前面算过的攻击时收益也差不多,二者差距过大,细算也没什么意义。被攻击时元素结晶收益远远低于穿透结晶。
7.总结
其实单看一个伤害计算公式没有任何意义,想知道多少伤害自己打一下试试就知道了。它的作用主要在于可以计算一些不方便测试的情况,比如自己没有的结晶,咔哒牌等等。本文只是举一些常用例子作为参考,更具体的数据还需要根据自身实际情况计算。
另外本文存在大量理论推算内容,并未全部验证,存在不准确或错误的可能。
2020/6/12补充
根据25楼神经蛙的测试,破甲射击自身忽略护甲效果、快速射击及瞄准射击对破甲射击UP的忽略护甲加成、棕熊玩具忽略护甲效果,这四者之间为加算。
2020/7/4补充
修正 各类加攻击/伤害效果叠加关系 部分关于鼓舞的计算方式
修改 破甲加伤害效果量化 部分内容
2020/7/13补充
修正 关于BUFF生效时间的描述
添加相关鼓舞攻击力计算方式的链接

