突破领悟两仪的概率问题
修改于2022/01/134276 浏览攻略
本文是以水友@屑的帖子 https://www.taptap.com/topic/11410651 为基础作的补充和进一步完善,感谢屑的付出和提供的珍贵思路。
相信从309开始突破出两仪的概率是多少,估计到底什么时候会出是大家都很关心的话题,特别在是难以获得狗牌的老区,很多小伙伴大伙伴们都被要不要放弃蹲两仪去轮回的问题困扰着。在此会分析几种常见情况下出两仪概率的问题,希望能给大家一个参考,好去规划自己的游戏路径。
本文所有计算结果均四舍五入到小数点后四位。(没错就是四位,谁叫两仪这可恨的概率这么小......)
分割线 ———————————————————— 以下正文 ☆ミ(o*・ω・)ノ
每次突破时两仪只会有出与不出,即领悟成功或失败两种结果,这便是典型的伯努利试验。伯努利试验遵循伯努利分布,成功概率记为p,失败概率记为q,由于不是成功就是失败,所以成功与失败互为补集,由此得出q=1-p。
成功概率p由官方公布的数据得出:


1. 满福缘没狗牌情况下:p=0.0001+0.0133=0.0134
2. 满福缘有狗牌情况下:p=0.0001+0.0133+0.0133=0.0267
设活动加成与福地概率提升一样为翻倍,
3. 活动期间满福缘没狗牌情况下:p=0.0134×2=0.0268
4. 活动期间满福缘有狗牌情况下:p=0.0267×2=0.0534
特殊情况,
活动期间满福缘有狗牌399时:p=1
任何时候599时:p=1
(其实还有第6种情况,也就是没狗牌没满福缘...... 但估计不会有人对自己的欧气这么自信,而且这情况下不管有没有活动双倍加持,两仪出在599的概率都 “无限” 接近1,也就不作讨论了。)
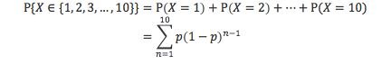
而309-599这30次突破时出两仪的事件其实就是30次由n个独立的伯努利试验组成的n重伯努利试验,其中n=1, 2, 3, ... , 29, 30,且只有第n次成功。因此第n次的概率取p,所有k<n次的概率取1-p(举个例子,如果是在419时突破出,那么就代表着从309开始的第12次为成功,而之前的11次均为失败。这个事件即是由11次失败和1次成功的伯努利试验组成的12重伯努利试验)。因此,会在从309开始的第n次突破出两仪的概率为:

其中X代表会在从309开始的第几次突破出两仪(这实际上就是我们取的随机变量,这里就不过多解释了,感兴趣的小伙伴大伙伴们可以去了解一下)。
这时很多人也许就会问:那不就是599之前越往后出两仪的概率还越来越小了,这怎么可能呢?其实不然,除了两种特殊情况以外每次突破出两仪的概率还一样是那四种,但是我们求的并不是单次突破出两仪的概率,而是两仪会出在哪次突破的概率,也就是说我们考虑的并不只是单次突破的事件,而是由多个单次突破事件组成的事件集。这个可以这样理解,之所以在599前两仪出在越后面的概率会越来越小,是因为最后面那次之前的突破都是有概率成功的,而它们的存在分散了两仪会出在最后那次的概率。
根据上述算法来计算我们的概率质量函数:

意思是在随机变量X(即两仪出在从309开始的第几次突破)的概率质量函数f (x)下,所有属于样本空间S的实数(因为309以下和599以上的突破不在考虑范围内,第1, 2, 3种情况下x取值的范围自然只会是1-30这30个整数,而第4种情况下由于399必出,所以这以上的就也不在考虑范围内了,即x的取值范围为1-10)会被映射到P{X=x}的值,即p(1-p)^x-1;而所有不属于样本空间S的实数x会被映射到0(这也很合理,因为它们那里出两仪的概率为0)。
第一种情况,函数为

两仪出在从309开始第1-29次突破的概率分布如下:

出在第30次即599的概率为0.6762 (它的图示长得太高已经顶破了图框所以惨遭抛弃)。
599小可怜:o(TヘTo)
第二种情况,函数为

第1-29次突破的概率分布如下:

第30次即599的概率为0.4562。
第三种情况,函数为

第1-29次突破的概率分布如下:

第30次即599的概率为0.4548。
第四种情况,函数为

第1-9次突破的概率分布如下:

第10次即399的概率为0.6102。
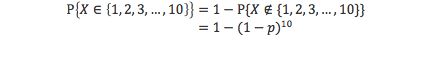
399作为大家判断的一个分水岭,很多人都会依照能不能至少在399时拿到两仪来确定要不要放弃它去轮回。在309-399这个区间出两仪的概率也是可以计算的,我们可以将“在309-399这个区间出两仪” 的事件视作由两仪出在309, 319, … , 399突破时这10个子事件构成的集合。而这10个子事件为不相交集,即他们之间完全没有重叠的部分,这个可以这样理解:两仪若是出在359时,就说明309-349都没有出以及369-399也不会再出,也就是没有与在其他9次突破时出的事件相交。因此这10个子事件符合第三概率公理可加性,从而得出 “在309-399这个区间出两仪” 事件的概率等于它10个子事件概率的和,即:

意思是我们的随机变量X属于1-10整数区间的概率为X=1, X=2, … , X=10的概率的和,也就等于之前提到过的多次n重伯努利试验概率的求和,此刻n取值为1-10。这便是原来由水友@屑提供的算法。
但其实还有一种更加简易的算法,如果我们换种思路,“在309-399这个区间出两仪” 的事件是不是就意味着是除了 “在309-399这个区间不出两仪” 事件以外所有的情况呢?也就是说,“在309-399这个区间出两仪” 的事件与 “在309-399这个区间不出两仪” 的事件互为补集,一起构成了我们目前的样本空间S,所以它们的概率相加为1,因此:

由此可得,两仪出在309-399区间的概率,在第一种情况下为:

在第二种情况下为:

在第三种情况下为:

在第四种情况下为1,因为399时必得即在这个区间里不出的概率为0。 对于其他区间可以用相同的方法进行计算。
看到这里可能会有细心的朋友拿计算器来验算,看看之前几种情况下算得两仪会出在各级的概率相加是不是等于一,由于结果是进行了四舍五入的原因并不会完全等于,但是到现在为止的算法可以通过以下的方法来验证:
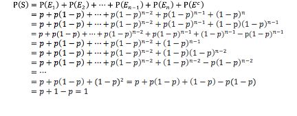
若以En来表示我们的多个只有第n次为成功的n重伯努利试验,那么它们与完全不成功(即第1-n次单独的伯努利试验均为失败)的事件一同构成了样本空间S也就是包含了所有可能结果的集,而因为样本空间S的这些子集两两均不相交,所以

其中E上标c表示E1, E2, … , En构成的集合E的补集,即完全不成功的事件。可以看到,多项式的最后一项在分解下很有趣地逐步抵消了之前的项而只留下一个1,可知我们的样本空间S的概率为1即符合第二概率公理。而活动狗牌满福缘399和599这两次必出突破的情况也和这最后一项相似,因为它们的概率为

同样地会抵消前面的项,而由于最后一次突破必出所以不存在完全不成功的事件,即多项式最后也只会留下1。可见,之前由概率质量函数的得出的概率分布总和同样为1,所以也是正确的。
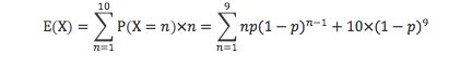
为了能更加直观地体现四种情况下不同的概率对获得两仪难易程度的影响,我们可以计算我们随机变量X的期望值。一个离散随机变量的期望值是指试验中每个可能的结果与其概率的积的总和。举个例子,假设每次开熊猫人的钱袋,有0.02的概率获得100金,0.18的概率获得70金,0.5的概率获得50金,0.3的概率获得20金的话那么开一次钱袋能获得多少金的期望值就会是

也就是说平均下来开一次钱袋会获得48.6金。当然,由于48.6不是整数那肯定并不属于这个问题中随机变量X的分布值域,但是说明了最有可能出现的结果是离这个值最近的随机变量的值,也就是50金。 那么为什么说期望值是能够反映 “期望” 的值呢?是因为概率的定义为:

意思是事件E的概率等于在随机试验的次数n逼近无限的情况下,事件E作为结果出现的次数和总试验次数n的比。因此期望值作为随机变量X所有可能值与它们概率的积的和,实际上就是该随机变量所有可能值的加权平均数,能够反映同样的随机试验在重复多次时平均最有可能给出的结果。所以我们随机变量X的期望值能给出在四种情况下两仪平均最有可能出在哪次突破。
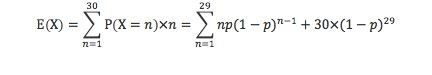
我们随机变量X的期望值在第一、二、三种情况下为:

在第四种情况下为:

计算后可得出,
第一种情况下,满福缘没狗牌时,期望值为24.8384。
也就是说两仪最有可能在309开始的第25次突破即549出。
第二种情况下,满福缘有狗牌时,期望值为20.8233。
也就是说两仪最有可能在309开始的第21次突破即509出。
第三种情况下,活动期间满福缘没狗牌时,期望值为20.7965。
也就是说两仪也是最有可能在309开始的第21次突破即509出。
第四种情况下,活动期间满福缘有狗牌时,期望值为7.9092。
也就是说两仪最有可能在309开始的第8次突破即379出。虽说只是比399早20级但能省下的修炼时间还是不少的。
总的来说,通过计算我们可以看到在必出等级改成了599之后对没有狗牌的朋友来说预计能出两仪的时间简直就是丧心病狂的……因此我强烈建议不太能拿到狗牌的朋友一定不要未轮就蹲两仪,因为未轮要把太极剑升到509左右可以说是难如登天(未轮罕有大佬?),即便有毅力达成也极度浪费时间和潜能,完全不值得。放弃两仪等一两次轮回后有了带脉再蹲绝对是更加明智的选择(但309开始想突破几次试试自己是不是传说中的欧皇那还是可以的)。如果轮了还是没有狗牌的话想蹲两仪一定要在活动加持下突破,能在509出而不用修炼到549的话,就能省下跟与上亿潜能等价的时间和七千多万基剑的潜能。还有如果是有希望能拿到狗牌的朋友千万不要一时冲动不等狗牌和活动就突破399,否则后果是真•不堪设想(虽然我觉得不太会有人这样做…)。
好啦,想跟大家说的就这么多了,完结撒花!(ノ´ヮ`)ノ*: ・゚(ノ◕ヮ◕)ノ*:・゚✧
祝大家都能尽早拿到想要的两仪!
注:
写这篇帖子的用意是想通过用数学分析出的具体数据来让大家可以较为客观地认识到领悟两仪整体上是一个什么情况,从而可以尽早规划好路径避免沉没成本。因为我相信若是对两仪概率没有一个具体认知的话,大多数人都会或多或少地抱着一种赌徒心态来提升太极剑试试突破时能不能出,结果通常是损失了不必要的时间和潜能。虽说无论如何计算,概率的本质还是概率,不能绝对地进行预测,但是如果随机过程能依据计算出的概率分布、期望值及其他数据来处理的话,通常能得到一个较为乐观的结果。
举个例子,若某赌场里的游戏一局下来赚的钱的期望值都是负数的话(即便只是负一、两元),虽说能一夜暴富的玩家肯定会有,但是绝大部分的人长期玩下去的结果只会是倾家荡产。我现在写这篇帖子就好似给赌场里的玩家分析哪种游戏平均每一局赔的钱相对来说比较少,以及如何尽量减少在让他们一夜暴富的那一局之前所损失的钱。
分割线 ——————————————————————————————————————————
第一次修改,2022.01.11
根据最新官方数据更新了成功概率p以及以此为基础计算出的结果,谢谢评论区水友们的提醒!
第二次修改,2022.01.12
根据必出等级调整至599修改了相关公式以及计算结果,谢谢@清心的及时提醒!

