鬼区一星宗门应不应该建
2022/04/099766 浏览玩家攻略
先说结论,三个人建一星宗门,划算!
鬼区4万多年,能建宗门了,但是不知道是赚是亏,特地查数据做了一个计算。已经开了小世界,对矿脉需要不迫切,对修炼场更有兴趣。所以针对修炼场做的计算。
数据说明:
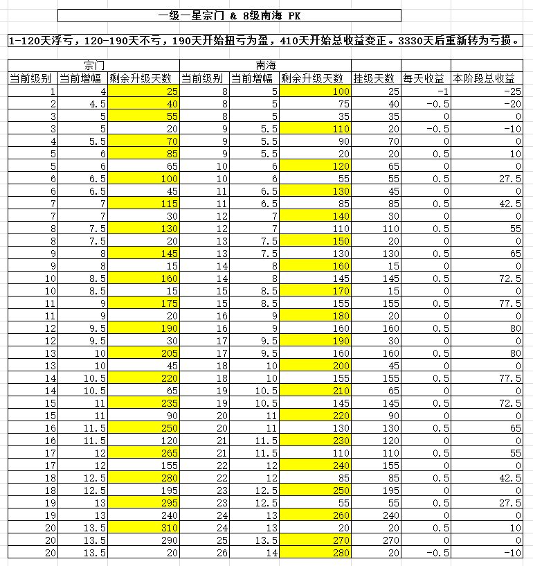
宗门修炼场每日增长经验:40+10×福地星级。升级所需经验:1级1250,后面每级增加750。
南海修炼场每日增加经验1。升级所需经验:1级30,后面每级增加10。
那么在不考虑宗门狩猎的情况下,
南海,1级升级需要30天,后面每级增加10天。
一星宗门,1级升级需要25天,后面每级增加15天。
二星宗门,1级升级需要21天,后面每级增加12.5天。
三星宗门,1级升级需要18天,后面每级增加11天。
四星宗门,1级升级需要16天,后面每级增加9.5天。
五星宗门,1级升级需要14天,后面每级增加8.5天。
六星宗门,1级升级需要12.5天,后面每级增加7.5天。
从这个数据来说,要四星宗门才有可能划算。
但是!!!鬼区有一个问题是:人很少,而宗门还有一个针对少数人的最强福利:练功房,宗主副宗主每天免费2.5倍增幅修炼一次。南海和宗门的修炼场,一级都是1.5增幅,每一级增加0.5,练功房相当于为三个人增加了5级修炼场。
所以,现在,我们要思考的是,如果三个人建一个宗门,划不划算!
下图,就是我计算的结果。其中有一部分误差,包括:狩猎会稍微增加宗门升级速度、副宗主需要一段时间升职,没有练功房增幅、后续可以转移宗门获取得快的升级速度。


