![[嗒啦啦4_比心]](https://img-tc.tapimg.com/market/images/d28961d9ef2d62e62333b8d17a8612dc.gif)
符文“进阶熔炼”的萌新攻略
修改于2022/07/274334 浏览冒险攻略
作为一个萌新,符文是很重要的资源,每次和大佬混完12人本或者参与每月活动时都会送一些符文![[嗒啦啦4_比心]](https://img-tc.tapimg.com/market/images/d28961d9ef2d62e62333b8d17a8612dc.gif)
![[嗒啦啦4_比心]](https://img-tc.tapimg.com/market/images/d28961d9ef2d62e62333b8d17a8612dc.gif)
首先科普一下符文分B、A、S、S星
S星比较特殊,只有4转后才能熔炼而且不能和其他符文一起熔炼。
如果获取到了非本职业的B、A、S符文,就要通过“熔炼”功能搏一搏拉!
一般S符文可以通过5个不玩职业的符文精准熔炼,再辅以符文置换、属性同调多次达到符文毕业(九九归一
)
)剩下B和A符文这里就不建议“精准熔炼”了,首先是B和A没有符文置换,本职业不想要的A和其他职业的没啥区别;其次是B和A里能用的还是比较少,而且一般不太重要;最后是B和A周常获取比较多,可以慢慢拼鉴定

------------------------------------分界线来辣------------------------------------
所以B和A符文怎么“进阶熔炼”呢? --敲黑板
官方很贴心地准备了N种方法,并且告诉了我们一些合成概率,如BBB合成A是60%

总结一下如下表(什么?你想用S和A、B一起熔
,这篇文章不适合你)
,这篇文章不适合你)
怎么比较熔炼方法的好坏呢?以获取S符文的数量为目标,就是看同样数量的符文,通过不同路径最终能生成多少S符文。简单粗暴的方法可以试一下蒙特卡洛模拟,这边用解析方法来尝试做一下:
Q1. 反复做BBB/AAA会生成多少A/S?
从解析角度分析,通过BBB会生成0.6个A和0.4个B,0.4个B又可以做BBB生成0.4*0.6/3个A 和 0.4*0.4/3 个B ......
回忆一下等比数列求和是不是感觉似曾相识![[嗒啦啦4_好耶]](https://img-tc.tapimg.com/market/images/d378b7a8f38cae2d3dfb6170d918238b.gif)
![[嗒啦啦4_好耶]](https://img-tc.tapimg.com/market/images/d378b7a8f38cae2d3dfb6170d918238b.gif)

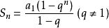
当n->∞时, 求和即a1/(1-q) ,带入每次的q=0.4/3, a1 = 0.6
即1组BBB -> 0.6923个A
同理,1组AAA -> 0.7778个S
Q2. BBA和BAA怎么测算?
BBA和BAA这两个组合中在游戏里只提供了合成S的概率,A和B的概率就需要测算了,如果4种方法在获取S上没有差异的话
应该 BBA = 2/3 BBB + 1/3 AAA , 此时S算出来应该是0.7/3, 很显然为了数值上的和谐,最终取到了0.2
; A 按这个逻辑应该为0.5,这个数值很和谐(
),因为总体概率是1,B的推断就是0.3了
; A 按这个逻辑应该为0.5,这个数值很和谐(
),因为总体概率是1,B的推断就是0.3了这样我们先把上面的表补齐

然后又到了经典的等比无穷级数求和
以BBA为例:
一组BBA生成0.2S+0.5A+0.3B, 接下来继续做BBA就要先把多余的A放一边
即0.2S + 0.35A + (0.3B+0.15A),很容易看出q=0.15
最后得到1组BBA -> 0.2353S + 0.4118A
同理得到1组BAA -> 0.5294S + 0.1176A
Q3. 有S有A咋整啊?
大家会发现BBA和BAA都会产生多余的A,在不引入新B的情况下只有AAA->S华山一条路啦!
复习一下Q1提到的1组AAA -> 0.7778个S,也就是1个A->0.7778/3 = 0.2593 个S
可以比较得出:
1组BBA -> 0.2353S + 0.4118A -> 0.3421S ;
而如果用BBB后再AAA的做法得到的是
2/3组BBB -> 0.6923*2/3个A + 1/3组AAA -> 0.7778/3个S 最终获得 0.379S
同样
1组BAA -> 0.5294S + 0.1176A -> 0.5599S
而如果用BBB后再AAA的做法得到的是
1/3组BBB -> 0.6923*1/3个A + 2/3组AAA -> 0.7778*2/3个S 最终获得 0.5784S
结论就是: 蚊子再小也是肉,用BBB+AAA吧![[嗒啦啦4_好耶]](https://img-tc.tapimg.com/market/images/d378b7a8f38cae2d3dfb6170d918238b.gif)
![[嗒啦啦4_好耶]](https://img-tc.tapimg.com/market/images/d378b7a8f38cae2d3dfb6170d918238b.gif)
通俗地说,按照每周12人和符文商店情况,大概每周有20B和10A左右
积累3周如果都使用BBA熔炼,会产生0.3421*10*3 =10.263 个S
使用BBB再AAA熔炼则会产生0.379*10*3 = 11.37个S
3周多一个S![[嗒啦啦4_好耶]](https://img-tc.tapimg.com/market/images/d378b7a8f38cae2d3dfb6170d918238b.gif)
![[嗒啦啦4_好耶]](https://img-tc.tapimg.com/market/images/d378b7a8f38cae2d3dfb6170d918238b.gif)
玩的时间不长。。。找一个最好的符文镇楼。。。
祝大家早日开出3黄星!

