拒绝玄学!概率论告诉你还差几抽出六星
精华修改于2020/07/155673 浏览综合

正文之前的话:由于我本人一直没有六星术士,小莫池子出来之后抽了五十多抽,新六星依然没个影,想了想觉得以后不能稀里糊涂的抽,就算了一下50抽之后的出货概率
言归正传,首先明日方舟标准寻访(不包含限定!!)的抽卡保底机制在游戏内已经明确写出: 如果连续50次没有获得六星干员,则下一次获得六星干员的概率将从原本的2%提升至4%,以此类推直到达到100%时必定获得六星干员。
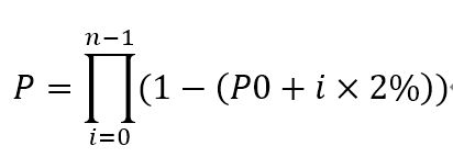
简单建立一个模型:假设我距离上一次抽出六星,中间抽了超过50次,那么当前的出货概率:
P0=2%+2%×(当前次数-50)
那么 之后n抽都不出六星的概率P就是:

那么 之后n抽之内出货(包括了出任意个六星、其中某一抽出六星等情况,并非指第n抽才出六星)的概率就是1-P。然后用matlab简单算一下概率并导出:


然后简单处理下图片就得到了文章开头的概率图。
原图自取:
总结:可以从图片里看到, 标准寻访(非限定) 50抽之后,后续10抽内(总共60抽)出六星的概率是69.46%,后续20抽内(总共70抽)出六星的概率是99.2786%。所以60抽一个六星是正常情况,70抽绝大多数情况下必定获得六星,如果超过70抽还没有六星……回家吧酋长
![[嗒啦啦2_哈哈]](https://img-tc.tapimg.com/market/images/1bbca193685a619674d8260ad0ed7455.gif)

