【精炼攻略】聊一聊精炼远古到底需要多少钱?
2022/10/083660 浏览冒险攻略
看到有坛友写程序直接讲了精炼,很有意思,正好十一假期也有空,就从数学角度讲一下精炼
1. 回顾一下游戏中提供的信息,简单可以归结为下表

2. 计算精炼到+4的费用,因为成功率均为100%,四则运算就不展开了
在这里定义了精炼中的3个组成部分:
material即神金/铝/秘银的材料数量,基本都是25000/1个
repair是需要的破损修复件(炉心/海灵)
fee是精炼费用

3. 计算精炼到+5的费用,此时成功率不为100%,所以有二叉树的结果
假设成功率为r (此处0.5), 破损率为 u (此处0.5)

则:
路径1:精炼成功 花费的cost = material + fee_4(+4精炼的费用)
路径2:精炼失败并把+3(红锤)重新搞到+4的费用
cost =material + fee_4 + u*repair+material + fee_3
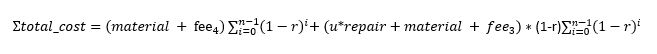
很显然,路径2的结果又是这个二叉树的起点,即可以用等比级数求和方式求出最终费用
total_cost(1) = material + fee_4 + (1-r)*(u*repair+material + fee_3)
total_cost(2) = (1-r)*total_cost(1)
......
total_cost(n) = (1-r)*total_cost(n-1) = (1-r)^(n-1) * total_cost(1)
= (1-r)^(n-1) * (material + fee_4) + (1-r)^n*(u*repair+material + fee_3)
可得:

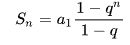
参考等比数列求和公式

如果我们的目的是无论花多少钱都要最终达到+5即n->∞
Σtotal_cost = 1/r * (material + fee_4) + (1-r)/r *(u*repair+material + fee_3)
需要的
material个数为: 1/r + (1-r)/r = 3
repair个数为: (1-r)/r *u = 0.5
fee 为:1/r * fee_4 + (1-r)/r*fee_3 = 2*50000 + 40000 = 140000
最终得到扩展到+5的列表

4. 计算精炼到+6的费用
此时我们同样得到一个二叉树,但区别是+4 -> +5 不是一步可以计算出来的。这里引入一个公允价值,即前面求的费用,大家可以想象失败的+4卖掉,买一个+5的回来一样的意思。

和3的过程类似
Σtotal_cost = 1/r * (material + fee_5) + (1-r)/r *(u*repair - V4 + V5)
需要的
material个数为: 1/r + (1-r)/r*3 = 5
repair个数为: (1-r)/r *(u+0.5) = 1
fee 为:1/r * fee_5 + (1-r)/r*140000 = 2*60000 + 140000 = 260000
最终得到扩展到+6的列表

5. 计算精炼到+15的费用
excel拉一下公式便知,注意一下+11以后是浓缩神金/铝,所以材料数量*5

6. 结论
6.1 不计算维修件、铝成本 - 比如远古副手和衣服
从0到15平均要花约7250万纯z
6.2 计算神金成本,不计算维修件成本 - 挂心灵的朋友
从0到15平均要花约1亿700万
6.3 维修件按40万计,神金也计算 - 不能挂心灵的萌新朋友
从0到15平均要花约2亿2300万 - 劝退了吗![[嗒啦啦4_坏笑]](https://img-tc.tapimg.com/market/images/644c03a7456ff71d7b6b6a919b2d8817.gif)
![[嗒啦啦4_坏笑]](https://img-tc.tapimg.com/market/images/644c03a7456ff71d7b6b6a919b2d8817.gif)
7. 补充彩蛋
和安全精炼的比较: 安全精炼费材料费钱(但省时间),但是从节约维修件的角度考虑安精8的维修件会划算一点(+8稀有头饰存入最后一步值得安精
)
)
8. 最后补充
8.1 期望是平均数不是中位数,供大家参考,不要上头
8.2 有啥想看的数据欢迎留言
8.3 什么时候攻略评选送猫币?

