正在合成白羊座的我简单算了下该怎么做
2023/01/09712 浏览攻略指南
萌新正在合成白羊座,突然有个想法,先都放低级别的,攒够了鱼宝再一次性兑换多条高级别鱼好像更快;还是应该随时兑换,得到高级别鱼就放进池子里,这样好像赚钱会多一些?
于是我决定简单算一下
假设有90个格子用来攒白羊座
假设我们攒到了A级鱼总共90条
以小时为单位
不考虑小鱼长大的时间
不考虑前期兑换需要的鱼宝更少
不考虑部分鱼因为饿肚子没有产宝
不考虑因为金币/鱼宝产生的额外收益
不考虑半夜能不能准时打开游戏
……
已知S级,SS级鱼和SSS级鱼需要的鱼宝分别总计为250,1000,3000个
A、S、SS鱼每小时产宝分别为15个、8个和4个
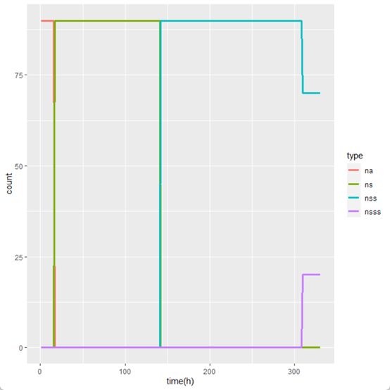
第一种方案:
先按比例放90条A级,攒够250*90个鱼宝之后,再换S级,攒够90条,再换SS级
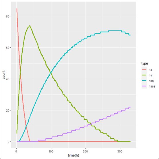
第二种方案:
假设每小时操作一次,每次都把换到的高级鱼放到池子里,把最低级别的鱼收进仓库
图示如下:


第一个方案,在第309个小时,我们可以收集够满足20条白羊座的鱼宝,兑换20条白羊座。
与我想的不太一样,第二个方案在第304个小时就攒到了20条白羊座,直觉不准啊!
至于钱,倒是很好理解。第二个方案显然会高一些,计算下也是如此。

在用两种方案都可以攒够20条白羊座的309个小时,第二种可以赚到71077.0w,而第一种只有60588.0w,真·损失一个亿。
当然了,每个小时操作一次并不现实,假如没有那么肝,每五个小时打开游戏进行一次兑换:

在第305个小时,可以拿到白羊座!只比肝帝晚一个小时!在第309小时,他的收入是70689.6w,比每小时检查一次的肝帝只少387.4w!
另外,这个时候大部分白羊座已经成年了,实际上还要再快一些,总之第二种方案的优势还是明显的。
当然,第二种方案也有缺点,比如对于五小时操作一次来说,仓库的s级和ss级鱼分别为77条和71条,肝帝还要再少3条s级鱼……第一种方案可以各自拥有90条~以及对于第一种佛系玩家来说,除了喂鱼,他只需要操作三次!
总结:要想富,还得肝
p.s.小白只能做到这里了TAT,欢迎纠错or改善模型

