![[表情_捂脸哭]](https://img-tc.tapimg.com/market/images/83aa452eea88b5c64df710bca367b7e9.png)
【数值策划请进】六国的随机恐慌,数学期望根本无法匹配自身需要
修改于2023/06/30388 浏览平衡性设定
先说结论,六国非常缺乏针对性的恐慌,六国的恐慌体系,主要是每十秒给随机五个敌人5秒恐慌,根本无法匹配阵营里几个依赖恐慌的武将的需要,可以说作用是非常虚假的。![[表情_捂脸哭]](https://img-tc.tapimg.com/market/images/83aa452eea88b5c64df710bca367b7e9.png)
![[表情_捂脸哭]](https://img-tc.tapimg.com/market/images/83aa452eea88b5c64df710bca367b7e9.png)
好,正文开始。
这次更新后,六国有五个人的战法可以每十秒给随机五个敌人恐慌,持续五秒。
那么这个恐慌能不能匹配阵营中那么多需要恐慌的人呢。![[表情_看我的]](https://img-tc.tapimg.com/market/images/68859b6a042187b719b1fed6a9c32f9a.png)
![[表情_看我的]](https://img-tc.tapimg.com/market/images/68859b6a042187b719b1fed6a9c32f9a.png)
首先取最理想的情况,就是敌人不能免疫负面,而且恐慌不会被驱散(这个其实非常不可能,因为被击打的盾普遍都有免负面,或者被奶后清除负面)
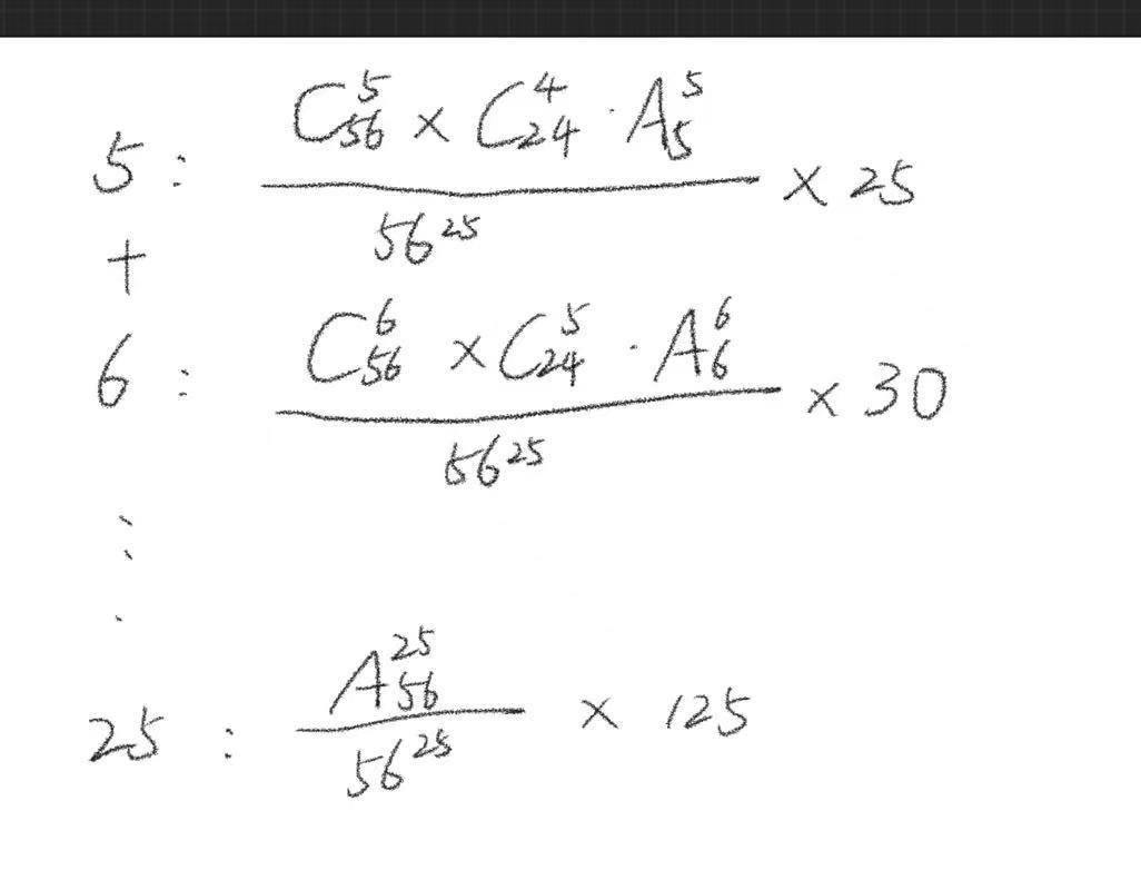
在这么理想的情况下,对面有56个敌人,我方5人每人每十秒给随机五个敌人5秒恐慌,那么每10秒内最多给25个敌人恐慌(完全不重复),最少是给5个敌人恐慌(完全重复)
这样的情况下每个人受恐慌的覆盖率,数学期望值如下

这个很难算,而且我考虑不周,分母好像有点问题,我明天重新写个式子。![[表情_晕了]](https://img-tc.tapimg.com/market/images/f3025b3b558aff43829d17bca18b7efe.png)
![[表情_晕了]](https://img-tc.tapimg.com/market/images/f3025b3b558aff43829d17bca18b7efe.png)
不算这个,我们算个更理想的情况,就是我五个人每次加恐慌,都加给不同的人,这样就相当于一个人每10秒给对面25个不同的敌人加恐慌。
这样情况下,对面每个人敌人的恐慌覆盖率是5的三次方除以56再除以10,就是22%。
这是最最最理想的情况。也就是说对面全部都不免疫负面,不驱散负面,而且我每次恐慌都不重复,对面很有礼貌,都站着一个个吃我的恐慌的情况下。
这么离谱的理想情况下,我李牧的技能刚好能获得恐慌加成的几率(就是李牧放技能时,所打目标刚好被恐慌的概率)也只有20%左右,其他几个也是。
(还得是李牧技能有可能出现在每个10秒的前五秒的情况下,如果技能和恐慌的时间刚好避开,那就完全触发不了了)
(还得是李牧技能有可能出现在每个10秒的前五秒的情况下,如果技能和恐慌的时间刚好避开,那就完全触发不了了)
