首页
排行榜
发现
云游戏
PC 游戏
动态
发布
论坛
TapTap 制造
聚光灯 GameJam
开发者中心
创作者中心
营业执照
|
沪 ICP 备 16012525 号
|
沪网文(2025)0236-071 号
|
增值电信业务经营许可证:沪 B2-20170322 B1-20204119
|
广播电视节目制作经营许可证:(沪)字第04651号
|
内容安全算法 网信算备310112119986605230015号
|
个性化推送算法 网信算备310112119986602230017号
|
TapSight 智能问答助手算法 网信算备310112119986601240015号
易玩(上海)网络科技有限公司
公司地址:上海市静安区灵石路 718 号 B1 北楼
注册地址:上海市闵行区紫星路 588 号 2 幢 2122 室
投诉举报邮箱:kefu@taptap.com
沪公网安备 31010602009551 号
违法信息举报电话:021-60727072 转 3003
网上有害信息举报专区
上海辟谣专栏
下载手机 APP
扫码下载
Android APK 下载
版本:v
App Store 下载
版本:v
下载 PC 版
Windows 版下载
版本:v
下载 TapTap
TapTap 手机 APP
扫码下载手机App
Android APK 下载
版本:v
App Store 下载
版本:v
TapTap PC 版
Windows 客户端下载
版本:v
无尽寒冬
关注
无尽寒冬
关注
【官方攻略】人物等级和巅峰等级的经验表
KK
精华
2023/08/16
5083 浏览
精品攻略
最近有不少玩家在追问经验表
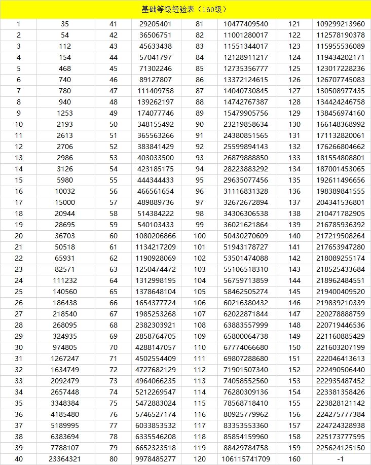
KK把目前基础等级和巅峰等级所需的经验整理了一下,供大家参考:
首先是人物基础等级升级所需经验表,更新到160级:
人物基础等级升级所需经验表
以及巅峰等级升级所需经验表,更新至350级:
巅峰等级升级所需经验表
如有其他疑问,欢迎加入官方Q群,KK和一众友好的“萌新”将为大家解答!
魔神纪元1群(已满):600679389
魔神纪元2群(已满):924683540
魔神纪元3群:568290852
#攻略
#游戏推荐
#游戏讨论
#游戏安利
15
10
4