荒野日记:孤岛综合水平测试(二)
2023/12/311997 浏览综合
祝大家元旦玩得快乐,做得快乐
注意事项:
1.命题人:无风星月悬
2.满分100分,不限时间
3.可能用到的有关知识:
鬣狗防御为0,鳄龟防御为2,三星逆境伤害加成250%
4.阅读理解除人名改动外其他为原文。部分材料来源:
平底锅,机关剑,机关连弩数据:沙雕
遗物图片:荒野日记孤岛吧论坛
1.命题人:无风星月悬
2.满分100分,不限时间
3.可能用到的有关知识:
鬣狗防御为0,鳄龟防御为2,三星逆境伤害加成250%
4.阅读理解除人名改动外其他为原文。部分材料来源:
平底锅,机关剑,机关连弩数据:沙雕
遗物图片:荒野日记孤岛吧论坛
第I卷 选择题(共36分)一.单项选择题每题2分,共16分。每题仅有一项符合题目要求。
1.普通模式下,丘陵不能获取哪种资源
A.土豆 B.兽筋 C.木头 D.淡水
2.只点满一项科技,下列武器中一定有控制的是
A.竹枪 B.朱莉的长弓 C.驯兽鞭 D.伪袖珍手枪
据悉,51区官方人员于2022年1月32日发现了一种新型逃离物品,该物品质地坚硬,符合五行中某一元素的特点。相关研究人员表示,该物品只在孤岛中存在一次,具有悠久的历史,逃离价值非常高。据此,回答第3-4题。
3.推测该物品为
A.特殊的帆布 B.硝石 C.石板 D.铁锭
4.下列说法错误的是
A.该种逃离方式需要准备五种材料
B.该种逃离方式需要打完黑暗囚室
C.该种逃离方式与野蛮人密不可分
D.该种逃离方式需要某种常用建筑
5.Buff只增加基础攻击力和暴击率的奇遇是
A.新月狼人 B.异变死神 C.赏金猎人 D.狂化战士
6.下列对第五题描述奇遇所属角色的叙述中,正确的是
A.目前该角色的奇遇都比较强势
B.该角色可以制作2种特殊武器
C.该角色能降低迷路概率
D.该角色能缩短从家到竹林的距离
阅读近武K的武器数据,回答7-8题:
基础攻击力100,暴击率X(X为两位小数)
攻击必命中,攻速为1
制作用具:石片4,木头10,铁锭1,阔叶2,软金3
只能通过三级工作台制作获取
K的暴击率算法与攻击速度相同
科技:汲取,耐用,双份,快攻,省材(软金-1,木头-3)
7.下列叙述错误的是
A.正常情况下,只有朱莉可拥有该武器
B.若包括该武器,则朱莉共可以制作6种专属物品
C.该武器造成的最低伤害小于100
D.制作该武器所需要的材料可以在湖泊中找到
8.(保留两位小数)下列对无外部Buff状态下K攻击的叙述中,错误的是
A.若无科技K攻击真鳄龟四次造成伤害为492,则X最小值为0.50
B.若X=0.34,则无科技K攻击6次造成的最大伤害为700
C.若X=0.72,则满科技K五回合内造成的最大伤害为850
D.不考虑攻击范围,若满科技K打死1100血成年狼需要7回合,则0.20≤x≤0.33
1.普通模式下,丘陵不能获取哪种资源
A.土豆 B.兽筋 C.木头 D.淡水
2.只点满一项科技,下列武器中一定有控制的是
A.竹枪 B.朱莉的长弓 C.驯兽鞭 D.伪袖珍手枪
据悉,51区官方人员于2022年1月32日发现了一种新型逃离物品,该物品质地坚硬,符合五行中某一元素的特点。相关研究人员表示,该物品只在孤岛中存在一次,具有悠久的历史,逃离价值非常高。据此,回答第3-4题。
3.推测该物品为
A.特殊的帆布 B.硝石 C.石板 D.铁锭
4.下列说法错误的是
A.该种逃离方式需要准备五种材料
B.该种逃离方式需要打完黑暗囚室
C.该种逃离方式与野蛮人密不可分
D.该种逃离方式需要某种常用建筑
5.Buff只增加基础攻击力和暴击率的奇遇是
A.新月狼人 B.异变死神 C.赏金猎人 D.狂化战士
6.下列对第五题描述奇遇所属角色的叙述中,正确的是
A.目前该角色的奇遇都比较强势
B.该角色可以制作2种特殊武器
C.该角色能降低迷路概率
D.该角色能缩短从家到竹林的距离
阅读近武K的武器数据,回答7-8题:
基础攻击力100,暴击率X(X为两位小数)
攻击必命中,攻速为1
制作用具:石片4,木头10,铁锭1,阔叶2,软金3
只能通过三级工作台制作获取
K的暴击率算法与攻击速度相同
科技:汲取,耐用,双份,快攻,省材(软金-1,木头-3)
7.下列叙述错误的是
A.正常情况下,只有朱莉可拥有该武器
B.若包括该武器,则朱莉共可以制作6种专属物品
C.该武器造成的最低伤害小于100
D.制作该武器所需要的材料可以在湖泊中找到
8.(保留两位小数)下列对无外部Buff状态下K攻击的叙述中,错误的是
A.若无科技K攻击真鳄龟四次造成伤害为492,则X最小值为0.50
B.若X=0.34,则无科技K攻击6次造成的最大伤害为700
C.若X=0.72,则满科技K五回合内造成的最大伤害为850
D.不考虑攻击范围,若满科技K打死1100血成年狼需要7回合,则0.20≤x≤0.33
二.不定项选择题每题3分,共12分。每题至少有一项符合题目要求。选对部分得1分,选错得0分。
51区研究人员指出,自2021年13月32日以来,孤岛某一地区野生动物数量暴涨,其中以多种攻击性爬行类动物为主的大规模动物活动阻碍了孤岛科学研究的正常进行。13月12日,动物活动造成51区科研装置损坏,并造成1人死亡,死者遗物已经找到,如图所示。据此,回答9-10题。
51区研究人员指出,自2021年13月32日以来,孤岛某一地区野生动物数量暴涨,其中以多种攻击性爬行类动物为主的大规模动物活动阻碍了孤岛科学研究的正常进行。13月12日,动物活动造成51区科研装置损坏,并造成1人死亡,死者遗物已经找到,如图所示。据此,回答9-10题。

9.关于此次动物活动,下列判断正确的有
A.此次动物活动不可能有蛇参与
B.此次动物活动与正常造船逃离无关
C.此次动物活动很有可能位于孤岛西北部
D.此次动物活动很有可能影响骆驼的正常生存
10.下列对该科研人员的叙述中,错误的有
A.该科研人员尝试自做背包
B.该科研人员的遗物中有毒竹枪
C.遗物中的两种鱼都不能回复内伤
D.同时吃遗物中的两种鱼,只能获得一种战斗Buff
11.(保留一位小数)对于平底锅的叙述,下面说法正确的有
A.无Buff无科技平底锅最高可造成61.5伤害
B.制作平底锅所需材料可在荒漠中找到
C.逆境平底锅攻击一次造成的最低伤害为102.5
D.平底锅有晕眩效果
12.对游戏中奇遇的叙述,正确的有
A.赏金猎人和圣诞小哥都可以增加失眠
B.战地厨师强屯增加近武命中率
C.绝味小哥不喜欢吃土豆泥
D幽灵公主开局附赠宠物室
三.阅读理解每题2分,共8分。理解所给材料后作答。
A
第一回合,A一次性发出了210发箭,B用尽浑身解数,但还是被打到了118支。A趁机向前走了两步。B士气受挫,他抖擞精神,拿杰克刀向A砍去,可惜被闪避。
第二回合,随着A的口哨声响起,他的金雕为他送来了一把()。A这样想,如果一锤命中并晕眩,他还能在次连击,这样B绝对撑不住。他用力挥去,结果被B闪避。
第三回合,A认为只有突袭才能用低消耗击败敌人。他先向后退一步,假装拿硬竹弓。B见状立刻穿上藤甲准备挡箭。但是他没有料到,A趁他穿藤甲的时候,点燃了12个竹筒炸药。竹筒炸药全部炸了,B被A击败了。
B站知名up主、荒野日记孤岛知名领导人A指出,本次决斗的胜利与本人超前的游戏理解能力,高超的游戏技术,充分的战前准备是分不开的。这次决斗实质上是一次新思想与旧思想的对决,结果其实在决斗开始时就已经定下。A还指出,我们要敢于并善于同诋毁我方的行为作斗争,这种斗争是需要智慧的,在任何战斗中使用石锤就是典型的错误。这一点已经在决斗中提现了。A强调,石锤和武士刀的命中是相同的,一味的选用石锤没有任何好的结果,石锤只能用来打虎。
13.请选择一把武器填在括号中,以使行文连贯。
A.平底锅 B.麻痹针 C.石锤 D.竹枪
14.结合实际,下列对划线句子的理解正确的是
A.石锤与武士刀的命中率是相同的
B.石锤是老虎的克星
C.武士刀综合实力不如石锤
D.武士刀综合实力强于石锤
B
我相信,贵国的溃败肯定不是因为天帝的震怒。众所周知,贵国在一年前仅有两位将军。而自今年的一系列改善后,可以算得上“兵多将广”。在昨天,贵国还是一个拥有2位元帅和4位将军的大国。除了那一批反动军队,其他所有国家无不在贵国的照耀下发展。
我很佩服贵国,并不是说贵国有强大的攻击战术,而是贵国拥有史无前例的发展历程。贵国的特点就是招贤纳士,这一点是其他任何国家无法达到的。在贵国,无论是拥有高额粉丝、看起来不懂军事的挑食的人,还是一个只会在小船上怒吼的罗盘海盗,都能在贵国有所作为。
望在帝国将军痛苦之时看完此信,能够重新燃起希望。对于这样一个帝国的陨落,我深表遗憾。
您的盟友
1202年8月4日
15.“贵国”指
A.能叠加各项属性的养老打法
B.有战斗核心作用的近战武器
C.有战斗辅助作用的投掷武器
D.能达到满闪避概率的闪避流
16.对材料的分析,错误的是
A.“贵国”的特点是扩大奇遇覆盖面
B.“元帅”和“将军”实战能力相同
C.材料对应的背景是8月4日荒野学者上线
D.划线处“罗盘海盗”指的是基德及其全部奇遇
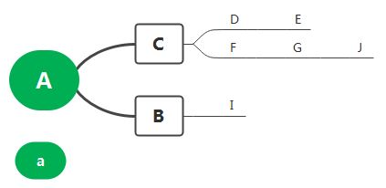
第II卷 非选择题(共64分)四.推断题(23分)17.下图示意部分关卡开启顺序,部分关卡已忽略。已知关卡A与a同时开启,关卡CFGJ可以采集到同一种造船必备资源,关卡DI都可以获得制作所有炸药的同一种必备材料,关卡AC中有大量爬行动物。读图,回答问题。(8分)
A.此次动物活动不可能有蛇参与
B.此次动物活动与正常造船逃离无关
C.此次动物活动很有可能位于孤岛西北部
D.此次动物活动很有可能影响骆驼的正常生存
10.下列对该科研人员的叙述中,错误的有
A.该科研人员尝试自做背包
B.该科研人员的遗物中有毒竹枪
C.遗物中的两种鱼都不能回复内伤
D.同时吃遗物中的两种鱼,只能获得一种战斗Buff
11.(保留一位小数)对于平底锅的叙述,下面说法正确的有
A.无Buff无科技平底锅最高可造成61.5伤害
B.制作平底锅所需材料可在荒漠中找到
C.逆境平底锅攻击一次造成的最低伤害为102.5
D.平底锅有晕眩效果
12.对游戏中奇遇的叙述,正确的有
A.赏金猎人和圣诞小哥都可以增加失眠
B.战地厨师强屯增加近武命中率
C.绝味小哥不喜欢吃土豆泥
D幽灵公主开局附赠宠物室
三.阅读理解每题2分,共8分。理解所给材料后作答。
A
第一回合,A一次性发出了210发箭,B用尽浑身解数,但还是被打到了118支。A趁机向前走了两步。B士气受挫,他抖擞精神,拿杰克刀向A砍去,可惜被闪避。
第二回合,随着A的口哨声响起,他的金雕为他送来了一把()。A这样想,如果一锤命中并晕眩,他还能在次连击,这样B绝对撑不住。他用力挥去,结果被B闪避。
第三回合,A认为只有突袭才能用低消耗击败敌人。他先向后退一步,假装拿硬竹弓。B见状立刻穿上藤甲准备挡箭。但是他没有料到,A趁他穿藤甲的时候,点燃了12个竹筒炸药。竹筒炸药全部炸了,B被A击败了。
B站知名up主、荒野日记孤岛知名领导人A指出,本次决斗的胜利与本人超前的游戏理解能力,高超的游戏技术,充分的战前准备是分不开的。这次决斗实质上是一次新思想与旧思想的对决,结果其实在决斗开始时就已经定下。A还指出,我们要敢于并善于同诋毁我方的行为作斗争,这种斗争是需要智慧的,在任何战斗中使用石锤就是典型的错误。这一点已经在决斗中提现了。A强调,石锤和武士刀的命中是相同的,一味的选用石锤没有任何好的结果,石锤只能用来打虎。
13.请选择一把武器填在括号中,以使行文连贯。
A.平底锅 B.麻痹针 C.石锤 D.竹枪
14.结合实际,下列对划线句子的理解正确的是
A.石锤与武士刀的命中率是相同的
B.石锤是老虎的克星
C.武士刀综合实力不如石锤
D.武士刀综合实力强于石锤
B
我相信,贵国的溃败肯定不是因为天帝的震怒。众所周知,贵国在一年前仅有两位将军。而自今年的一系列改善后,可以算得上“兵多将广”。在昨天,贵国还是一个拥有2位元帅和4位将军的大国。除了那一批反动军队,其他所有国家无不在贵国的照耀下发展。
我很佩服贵国,并不是说贵国有强大的攻击战术,而是贵国拥有史无前例的发展历程。贵国的特点就是招贤纳士,这一点是其他任何国家无法达到的。在贵国,无论是拥有高额粉丝、看起来不懂军事的挑食的人,还是一个只会在小船上怒吼的罗盘海盗,都能在贵国有所作为。
望在帝国将军痛苦之时看完此信,能够重新燃起希望。对于这样一个帝国的陨落,我深表遗憾。
您的盟友
1202年8月4日
15.“贵国”指
A.能叠加各项属性的养老打法
B.有战斗核心作用的近战武器
C.有战斗辅助作用的投掷武器
D.能达到满闪避概率的闪避流
16.对材料的分析,错误的是
A.“贵国”的特点是扩大奇遇覆盖面
B.“元帅”和“将军”实战能力相同
C.材料对应的背景是8月4日荒野学者上线
D.划线处“罗盘海盗”指的是基德及其全部奇遇
第II卷 非选择题(共64分)四.推断题(23分)17.下图示意部分关卡开启顺序,部分关卡已忽略。已知关卡A与a同时开启,关卡CFGJ可以采集到同一种造船必备资源,关卡DI都可以获得制作所有炸药的同一种必备材料,关卡AC中有大量爬行动物。读图,回答问题。(8分)

(1)关卡E的名称为(),关卡G的名称为()
(2)I中可以获得哪种资源?
A.石头 B.石片 C.粘土 D.铁矿
(3)关卡a是
A.神秘遗迹 B.崖洞 C.破风口入口 D.远山
(4)正常造船逃离需要打哪些关卡?
18.根据已知信息填空。(10分)
①攻击距离>2且满科技命中率超过1的近武
②0科技基础攻击力最高的近武
③不能被制作的防具
④可降低迷路概率的物品
⑤可以从邮件获取的防具
⑥淡水一次可制作多少个?
⑦满科技攻速为1.5的三把远武
⑧攻速最高的武器
⑨在局内商店中出售的投掷武器
⑩有暴击科技的远武
19.判断正误。(5分)
①背包满的情况下,远山剧情给的女巫药丸不占背包空间
②崖洞可以获取木头和石片
③驯兽鞭拥有类似基德怒吼的特性
④灌木丛打完不解锁任何关卡
⑤薄雾冥冥和集结号角不共存
五.实验题(10分)51区科研小组欲探究断网吃神秘果实和开友情包获取物品的联系。请你帮助完成资料收集和实验。
一.资料收集
①神秘果实的获取来源是()
②下列哪种增益是神秘果实无法获取的?
A.增加命中概率 B.增加精神 C.增加8点基础攻击力 D.增加闪避概率
③下列哪种资源是友情包无法获取的?
A.毒箭 B.兽血乱炖 C.阔叶 D.绷带
E.硬竹弓 F.硬竹弩 G.军粮丸
二.实验
实验材料:近武友情包a,远武友情包b,神秘果实A,B
已知:abAB可获得双刃斧和灵敏Buff,BaAb可获得重连弩和防御Buff
④aBAb必得() A.双刃斧 B.灵敏Buff C.重连弩 D.防御Buff
⑤若在ABab和BAab中可能有一种搭配能获得冰箭,请设计实验步骤测试出能开出冰箭的搭配。
六.材料阅读题(31分)第一部分(共13分)
材料一:在不携带长臂猿的情况下,麻痹针只能打到距离为234的生物,与其说距离为234,不如说麻痹针的攻击范围是3±1距离的生物……如果携带了长臂猿,上面投掷武器攻击范围要+1,也就是炸药变成了4±2,其他的变成了4±1。
——源君《麻痹针空针背景下的投掷武器原理》,有删改
①长臂猿状态下麻痹针的攻击范围为();若号角食人鱼的分布为12233444,则无长臂猿麻痹针能攻击到食人鱼的数量为()
②已知某炸药A的攻击范围为x±2,且长臂猿条件下栈位为112233445555的怪物能攻击到8个,则x=()
材料二:温度数据:皮甲+3,旧棉衣/藤甲/羽毛裙/防护服+5,未知果实+4,女巫的药丸+4,暖身丸+4,玉米粥+4,鳕鱼+5,兽血乱炖+8,小哥肉酱+8。
——于一《于一数据库》,有删改
③已知穿一件皮甲时温度为24,欲通过吃东西的方式将温度提升到26,请写出你的方法。
材料三:毒伤流指的是用两个或以上淬毒武器提高伤害的一种流派。这种伤害的来源是淬毒的三次最大生命值10%伤害,可以说伤害相对稳定,敌人血量越高我方伤害越高……再看毒伤流本身,它与很多地方有联系,不仅仅是武器的毒属性,还有攻速等武器属性。
——无风星月悬《毒竹枪:时代变了》,有删改
④试分析毒液炸药和毒竹枪在毒伤流中的重要地位
材料四:基础攻击力会影响后续很多加成……攻速加给近武越多越好,但是给远武多了的话可能费箭。
——无风星月悬《攻速问题》,有删改
⑤综合上述材料,你认为基础攻击力和攻击速度哪个更为重要?试说明理由。
(2)I中可以获得哪种资源?
A.石头 B.石片 C.粘土 D.铁矿
(3)关卡a是
A.神秘遗迹 B.崖洞 C.破风口入口 D.远山
(4)正常造船逃离需要打哪些关卡?
18.根据已知信息填空。(10分)
①攻击距离>2且满科技命中率超过1的近武
②0科技基础攻击力最高的近武
③不能被制作的防具
④可降低迷路概率的物品
⑤可以从邮件获取的防具
⑥淡水一次可制作多少个?
⑦满科技攻速为1.5的三把远武
⑧攻速最高的武器
⑨在局内商店中出售的投掷武器
⑩有暴击科技的远武
19.判断正误。(5分)
①背包满的情况下,远山剧情给的女巫药丸不占背包空间
②崖洞可以获取木头和石片
③驯兽鞭拥有类似基德怒吼的特性
④灌木丛打完不解锁任何关卡
⑤薄雾冥冥和集结号角不共存
五.实验题(10分)51区科研小组欲探究断网吃神秘果实和开友情包获取物品的联系。请你帮助完成资料收集和实验。
一.资料收集
①神秘果实的获取来源是()
②下列哪种增益是神秘果实无法获取的?
A.增加命中概率 B.增加精神 C.增加8点基础攻击力 D.增加闪避概率
③下列哪种资源是友情包无法获取的?
A.毒箭 B.兽血乱炖 C.阔叶 D.绷带
E.硬竹弓 F.硬竹弩 G.军粮丸
二.实验
实验材料:近武友情包a,远武友情包b,神秘果实A,B
已知:abAB可获得双刃斧和灵敏Buff,BaAb可获得重连弩和防御Buff
④aBAb必得() A.双刃斧 B.灵敏Buff C.重连弩 D.防御Buff
⑤若在ABab和BAab中可能有一种搭配能获得冰箭,请设计实验步骤测试出能开出冰箭的搭配。
六.材料阅读题(31分)第一部分(共13分)
材料一:在不携带长臂猿的情况下,麻痹针只能打到距离为234的生物,与其说距离为234,不如说麻痹针的攻击范围是3±1距离的生物……如果携带了长臂猿,上面投掷武器攻击范围要+1,也就是炸药变成了4±2,其他的变成了4±1。
——源君《麻痹针空针背景下的投掷武器原理》,有删改
①长臂猿状态下麻痹针的攻击范围为();若号角食人鱼的分布为12233444,则无长臂猿麻痹针能攻击到食人鱼的数量为()
②已知某炸药A的攻击范围为x±2,且长臂猿条件下栈位为112233445555的怪物能攻击到8个,则x=()
材料二:温度数据:皮甲+3,旧棉衣/藤甲/羽毛裙/防护服+5,未知果实+4,女巫的药丸+4,暖身丸+4,玉米粥+4,鳕鱼+5,兽血乱炖+8,小哥肉酱+8。
——于一《于一数据库》,有删改
③已知穿一件皮甲时温度为24,欲通过吃东西的方式将温度提升到26,请写出你的方法。
材料三:毒伤流指的是用两个或以上淬毒武器提高伤害的一种流派。这种伤害的来源是淬毒的三次最大生命值10%伤害,可以说伤害相对稳定,敌人血量越高我方伤害越高……再看毒伤流本身,它与很多地方有联系,不仅仅是武器的毒属性,还有攻速等武器属性。
——无风星月悬《毒竹枪:时代变了》,有删改
④试分析毒液炸药和毒竹枪在毒伤流中的重要地位
材料四:基础攻击力会影响后续很多加成……攻速加给近武越多越好,但是给远武多了的话可能费箭。
——无风星月悬《攻速问题》,有删改
⑤综合上述材料,你认为基础攻击力和攻击速度哪个更为重要?试说明理由。
第二部分(共18分)
材料五:朱莉经过多次用弓,掌握了太阳与弓箭的关系,但阳光对射箭的影响加深了。朱莉在11:00--13:00时使用远武获得逆境加成,且增加命中率5%。但在黑夜降低命中率30%
⑴感光:延长加成时长,最多延长120分钟。
⑵夜射:降低debuff,最多降低至10%。
⑶日射:增加命中率,最多增加至10%
⑷回收:增加远武回收概率,最多增加20%。
——选自豪华房vvb《朱莉奇遇-耀阳神射》,有删改
材料六:射穿一切!
弓之唯一:装备弓弩时,无法装备近战武器,同时提升远武的攻击力和命中率,初始20%,每级提升0.5%,满级30%
无限箭矢:当箭矢用尽时,消耗生命值换成箭矢,初始每支箭消耗1%的生命值,每级减少生命值消耗0.45%,满级消耗0.1%
呼啸之箭:当箭矢命中敌人时,随机触发冰冻,击退,恍惚,眩晕其中一个效果。触发几率,初始15%,每级0.25%,满级20%
速射:每次战斗开始时消耗一定的精神值,提升30%的攻击速度,初始消耗30%,每级降低消耗1.5%,满级无消耗
——选自低首落泪者《朱莉奇遇-弓之女神》,有删改
已知机关剑和机关连弩都是满科技且必中,除题目外不考虑其他Buff。
⑥逆境血量条件下耀阳神射携带远武机关剑,对鬣狗造成的单次攻击伤害(不暴击)
⑦机关连弩攻击三回合,同时拥有自身Buff的耀阳神射和弓之女神谁的伤害更高?
⑧小明的弓之女神点满了强健并携带了三星大家伙,在普通模式仅剩3血的情况下使用远武机关剑攻击一只伤害为0、血量为x的羊,若最终结局是弓之女神死亡,求x的取值范围。
材料五:朱莉经过多次用弓,掌握了太阳与弓箭的关系,但阳光对射箭的影响加深了。朱莉在11:00--13:00时使用远武获得逆境加成,且增加命中率5%。但在黑夜降低命中率30%
⑴感光:延长加成时长,最多延长120分钟。
⑵夜射:降低debuff,最多降低至10%。
⑶日射:增加命中率,最多增加至10%
⑷回收:增加远武回收概率,最多增加20%。
——选自豪华房vvb《朱莉奇遇-耀阳神射》,有删改
材料六:射穿一切!
弓之唯一:装备弓弩时,无法装备近战武器,同时提升远武的攻击力和命中率,初始20%,每级提升0.5%,满级30%
无限箭矢:当箭矢用尽时,消耗生命值换成箭矢,初始每支箭消耗1%的生命值,每级减少生命值消耗0.45%,满级消耗0.1%
呼啸之箭:当箭矢命中敌人时,随机触发冰冻,击退,恍惚,眩晕其中一个效果。触发几率,初始15%,每级0.25%,满级20%
速射:每次战斗开始时消耗一定的精神值,提升30%的攻击速度,初始消耗30%,每级降低消耗1.5%,满级无消耗
——选自低首落泪者《朱莉奇遇-弓之女神》,有删改
已知机关剑和机关连弩都是满科技且必中,除题目外不考虑其他Buff。
⑥逆境血量条件下耀阳神射携带远武机关剑,对鬣狗造成的单次攻击伤害(不暴击)
⑦机关连弩攻击三回合,同时拥有自身Buff的耀阳神射和弓之女神谁的伤害更高?
⑧小明的弓之女神点满了强健并携带了三星大家伙,在普通模式仅剩3血的情况下使用远武机关剑攻击一只伤害为0、血量为x的羊,若最终结局是弓之女神死亡,求x的取值范围。

