【星落三测】防御力减伤公式及对应表
精华2024/06/221247 浏览综合

上图为简化计算过程。下图是详细计算过程。欢迎大家指正错误/参考使用

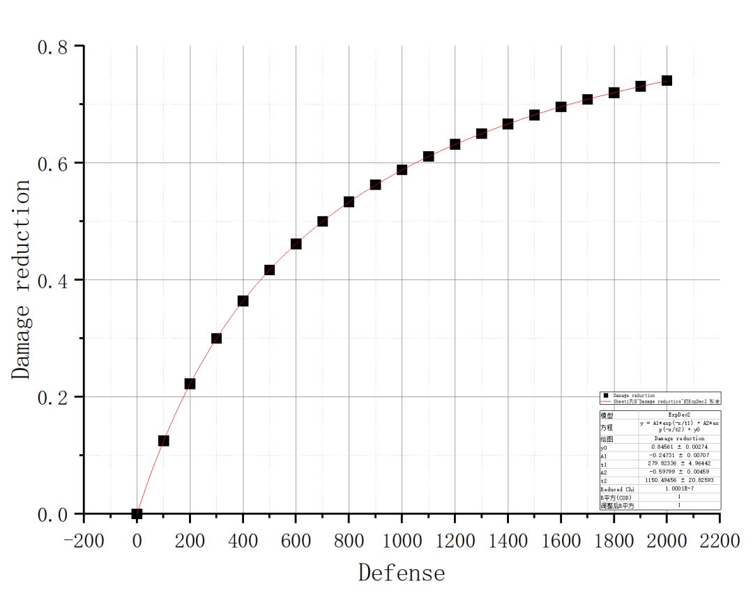
以下是简易数据拟合图可供对应防御力减伤百分比

更新补充:
例角色辉夜【五星坚甲角色】突破II等级60时基础防御294
简易搭配一套徽章可达到400+防御力(以400计算)
此时的减伤为36.00%,
当使用总攻技能提升110%防御力后,防御值应为840
此时的减伤为54.61%
实际减伤提高量:18.61%
实际相对减伤:28.37%
看似在高防御力情况下收益衰减严重,其实情况可能比想象中好一些
实际相对减伤:比如角色已有50%的减伤下提高到了60%减伤
实际受到的伤害从50%降低到了40%
而50%与40%之间相差了10%,但却是50%中的20%
这是实际相对减伤
再比如从90%到99%,只加了9%的减伤,但实际相对减伤却高了90%
另外帖子重新发一下,并更换了封面图

