氵,关于橙启灵的抽取期望和期望消耗
2025/08/01526 浏览守夜人论坛
万抽期望为82张(含保底),每张期望消耗为10408
算的粗略概率,可能存在计算错误之类的问题,仅供参考,下面是推导过程
![[TapFamily_看戏]](https://img-tc.tapimg.com/market/images/81393719ec733f589d6753db27572595.gif)
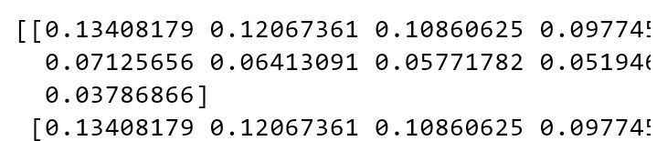
用马尔可夫链先计算出各占卜概率分布(图四),再进而计算橙启灵的概率(图六第一位,矩阵a11),均保留小数点后四位。
根据官方规则可以列出图三,然后得出无保底下各占卜的概率(图四)为白35.88%,绿26.91%,蓝18.84%,紫12.25%,橙6.12%
保底这边用4000分除每抽期望积分得约213抽,213抽乘橙色占卜出现的概率0.0612,得13次。那么将保底视为13次橙色占卜均没出橙启灵后,通过达到4000积分来强制获取橙启灵(中途出了橙启灵积分清空)。将4000分保底简化为13次橙色占卜均没出橙,再列出图五以求出橙启灵的概率(图六),为0.1341;乘上橙色占卜出现的概率0.0612,得0.0082;转换一下就是万抽期望82张。
因为保底机制是达到4000分后,继续抽强制进阶到橙色占卜再获得橙启灵,而不是达到4000分时获得橙启灵,所以会有一部分强制升阶的额外消耗。达到4000分时可以是任意一阶段,概率分布应和图四相同。如果达到4000分时刚好是白色占卜,额外消耗为白色40+绿色60+蓝色100+紫色160+橙色250,共610;同理,绿色占卜为570,蓝色510,紫色410,橙色250,分别乘上各占卜概率即为一次保底的额外期望消耗,为533.864。
上文提到13次橙色占卜(包含保底)出橙启灵的概率为13.41%,没有保底概率应为10%。因此多出来的3.41%是由保底提供的,保底提供一张,故反推保底概率为13*3.41%=44.33%,乘以之前算出的一次保底的额外期望消耗,即为保底额外消耗。万抽下保底额外消耗加上原本消耗为853491,约比原本多1w
综上所述,万抽期望82张橙启灵,每张期望消耗10408









