【异象回声角色推演#01】5星噩兆与6星库珀的伤害推演
修改于2025/12/141569 浏览攻略
1.噩兆和库珀的毕业心锚。

图1.1 5星角色噩兆-心锚测试(方案详情看图1.3)

图1.2 6星角色库珀-心锚测试(方案详情看图1.3)

图1.3 测试各种心锚/词条方案
2.0拓噩兆与0拓库珀满级毕业心锚的指令伤害构成。

图2.1 0拓5星角色噩兆-指令伤害构成

图2.2 0拓6星角色库珀-指令伤害构成
3.0拓噩兆与4拓噩兆对比,不装备心锚的时候,按常见1技+2技的指令组合的综合伤害来计算,提升了约26.7%,装备毕业心锚,实际提升约17.3%(图略)。
4.4拓噩兆与0拓库珀的指令组合伤害展示。

图4.1 4拓噩兆与0拓库珀-同框

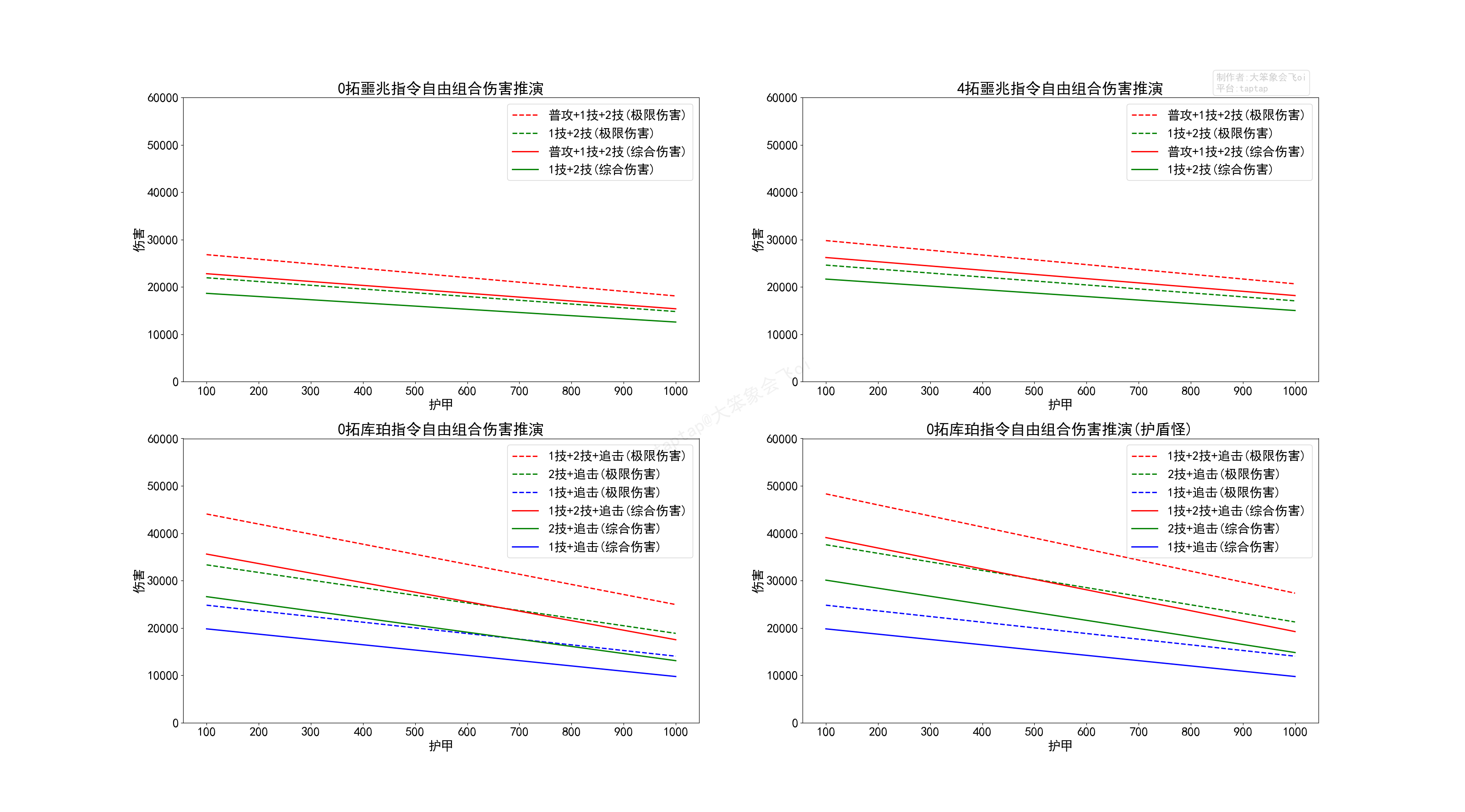
图4.2 角色指令自由组合伤害推演
免责声明:
1.队友提供的回能效果、再动效果,以及角色自身的高拓回能或专精等因素,均会对实际指令组合产生影响。
2.本攻略所列举的角色指令组合仅为理论可行方案,旨在为玩家配队时提供参考思路,实际触发的指令可能因战斗情况与配队差异而有所不同。
该攻略的图片为未来角色一图流的部分散装半成品,未来更多角色的推演,点此查看:【异象回声角色伤害计算合集#】合集汇总传送门。



