夜幕之下业余攻略-数据论
修改于03/06421 浏览综合
前言
叠甲,过
非新手向(我不会做攻略),鼓捣了挺久,有点累了,就仅作数据分享吧
仅此,先开始正片,依旧后言见碎碎念
指针:二测强度榜推荐可见8.风格强度一览
备注:仅针对二测内容,本次三测和未来公测将不再关注(玩法太烂)
目录
- 部分名词解释
- 风格等级与天赋提升
- 藏品
- 关卡数据一览
- 战斗数据计算
- 特性适配
- 击破与弱点
- 减伤
- 输出伤害
- 部分归类讨论
- 其它战斗相关
- 风格数值一览
- 风格信息一览
- 风格强度一览
- 风格杂谈
- 好感度
- 秘密派遣
- 小技巧
- 吐槽与BUG反馈
- 后言碎碎念
部分名词解释
可以跳过,后文部分不懂了再来查
不过不是很全,至少把个人认为和其它游戏有一定差异的部分名词作了解释
- 角色:作后缀称呼
- 风格:作前缀称呼,每个角色有不同的战斗风格,构成各种实机单位(“卡”)
- 技能:包括普攻、被动技、终结技
- 部分素材
- 金砖:珍贵的资源,钻石一类
- 启明币:金币
- 作战报告:经验书
- 勋章、特调、晋升许可、灵感:各种提升材料
- 藏品:圣遗物
- 夜行结晶:简称“结晶”,用于强化藏品,目前只有一个品阶,普遍只能在家族商店和秘密派遣中获取
- 重伤:又作“击杀”,“使退场”
- 欲火:能量条,在战斗中用于消耗并施放终结技,简写“火”
- 击破:又作“削韧”,敌方精英、首领拥有韧性条,具体信息见后文《战斗数据计算》
一点补充说明,该游戏数值策划的风格多采用:
- 线性:如风格等级提升带来的属性提升,或称作大部分数据填的较为简单直率
- 舍入:四舍五入取整,常见各类函数拟合度较高但细节并非完全对应等
故本帖的数据推断也基本基于上述猜测(依旧是猜测,但基本能被证实)
可以忽略这一点补充,仅作我个人推演函数的思考过程罢了
当然还有一点,抽象,可见后文(如果是我犯错了那没话说,但是我确实没辙)
风格等级与天赋提升
先上图

等级-经验(二次压缩图片略显失真)

天赋-素材
表格仅供参考,其中
- 节点中,罗马数字代表所需素材的等阶(也一定程度上表示解锁顺序)
- 基础属性:包含生命、攻击、防御;任一风格的天赋中,基础属性I、II均各有3个,均为生命、攻击、防御提升4.3%(每个属性各两个),仅基础属性III、IV会因风格不同而改变属性类型(见后文表格)
- 特殊属性I和高级属性I:区分二者是因为消耗素材量不同,提升包含如攻击速度、命中、闪避、暴击、暴击伤害、伤害加成、伤害减免、治疗加成、受治疗加成(详见后文表格)
- 技能修正II:对被动技、终结技的调整,通常是关键节点,建议优先考虑解锁(详见后文)
- 等效体力代表从零刷取所需材料的体力,并且
- 适中等效体力代表:和对应晋升、天赋提升解锁时的等级去刷取对应最优关卡(暂不考虑越级超过5级)
- 最少等效体力代表:在最高等级的关卡刷取获得材料的比值
- 梦中的灵光:珍贵的天赋提升材料,目前仅用于9级→10级的技能等级提升
启明币扣问号是因为我忘记记录了,呜呜呜……
表中可见,无论是80级后的角色等级提升,或是7级之后的天赋提升,所需材料和体力都是惊为天人
藏品
完成S3-3(没记错吧)解锁
品质划分为:紫色、金色、红色
先来一张藏品品质强化所需对照表

藏品强化等级-结晶
一般的,前中期以金色藏品为主,较好刷取且强化所需物资不多
补充描述:
- 消耗金币等同结晶提供的经验量
所以为什么经验总量是奇性百位数???浪费100经验!但是金币不会多付100!)
- 同强化等级的紫色、金色、红色藏品所需经验的比值=2:3:4
- 紫色藏品强化等级上限+8,金色藏品强化等级上限+12,红色藏品强化等级上限+16
- 1夜行结晶=200经验;1紫色藏品=400经验;1金色藏品=800经验;1红色藏品=1600经验;
- 已经强化过的未锁定未穿戴藏品,按下述规律提供经验
- 该藏品升级所消耗的经验量*0.5+自身品质的基础经验量,并对MOD200向下取整(即如300变200经验,500变400经验)
- 其中,升级所消耗的经验量无关强化等级,是为实际经验消耗量
又偷我经验!
- 对于藏品的主词条:(主词条随机范围)
- 打火机(1号位):固定生命加成
- 戒指(二号位):固定攻击加成
- 手环(三号位):固定防御加成
- 胸针(四号位):生命加成、攻击加成、防御加成、伤害加成、治疗加成
- 印章(五号位):生命加成、攻击加成、防御加成、暴击率、暴击伤害
- 此外,还有一个“欲火恢复速度加成”,按理说应该在四号位概率出现,但是我直到测试结束都没见过
这也真没辙了,投入三天多的体力全刷藏品了
- 对于藏品的副词条有:固定生命加成、固定攻击加成、固定防御加成、生命加成、攻击加成、防御加成、暴击率、暴击伤害
- 获得藏品时,将从上述中随机选择6个作为词条的随机范围,并会将此呈现在该藏品的详细信息中(可查看的)
- 副词条允许出现重复的词条(如2个生命加成,目前最多能出现3个相同,预测并没有对此限制)
- 同样的,很容易推断,关卡掉落藏品的主词条概率不均,且副词条低数值概率较高(……)
然后让我们来看一下主副词条的数值

藏品主词条数值参考

藏品副词条数值参考
其中,标红的数字代表没有测得足够的数据量,仅为了表格完善度作函数拟合推断,但因数值策划风格多采用取舍导致拟合度都不高,仅供参考(但是误差到不是很大,可见后文《战斗数据计算》解释)
燃尽了都,最后一天把主战角色的几十个+12金藏品都卸了去强化,数据量依旧差得远呢,而且更好笑的是,副词条刷出来全是重复的,双暴更是没见过几个
可见:
- 同强化等级的紫色、金色、红色藏品主词条属性数值的比值3:4:5
- 藏品主词条的数值提升是固定的
- 藏品副词条将在强化等级+4、+8、+12、+16分别解锁一条,其数值将于表中的MIN~MAX中随机,且随机间隔为成长一列的数值(如固定生命加成只会随机为1100、1200、1300、1400、1500这样)
关卡数据一览
我只放几张图,我觉得挺清楚的了,但是意义不大……哈哈……哈哈……
主线,也是刷取晋升许可、灵感——

主线-素材-灵感-晋升许可
据说一测有六章主线……难绷……
随机一列描述为对应品质有概率掉落,据数据大致均为25%的掉落率
据说三测的金砖改成30或60了……反正不关我事喵~
金币、经验书的——

作战报告/启明币
勋章、特调的——

勋章/特调
标红的依旧是数据不足,打不过说是……毕竟,我也养错角色了,而且重点在培养五星卡去了……
藏品——

藏品
这个数值误差可能比较大,因为大部分掉落物描述的都是随机掉落
但据统计,该随机概率大致为50%
- 所有藏品关卡的掉落物一览中均包含两种,随机掉落
- 具体样例:如关卡描述中,能掉落A、B两种紫色随机藏品,描述概率为必定A、B,概率A、B,那么实际掉落的概率为1A+1B,且A、B各有50%额外掉落1个但至多额外掉落1个;其它品质同此理(反正不用细究,打高等级能概率掉的就行)
战斗数据计算
特性适配
观察到,风格拥有以下四种特性:情报、物资、执行、策略,且星级不等,最低1星,最高5星(闪耀4星,但目前没有风格如此)
每个关卡都有独特的“行动重点”,对应风格的特性适配,使用适配度星级更高的风格能事半功倍
具体各风格的特性适配值见后文《风格数值一览》,现对星级加成作简要解释:
- 星级加成目前为独立乘区,其中:
- 1星:85%
- 2星:100%
- 3星:110%
- 4星:120%
- 5星:?
测量基础是一系列计算后,某风格向外输出的伤害量,然后对比实际造成的伤害,排除其它干扰得到结果
击破与弱点
观察到,大部分敌方都有对应的欲望弱点,使用相同欲望的风格进行攻击,伤害提升30%,此为独立乘区(并非伤害加成乘区,后无赘述则同)
观察到,敌方精英、首领均有韧性条(血条下方的白条),普通敌方没有韧性条
- 击破(清空)韧性条后,目标将被眩晕5秒(无法任何行动,包括任意主动攻击、被动技能、移动等)
- 在此5秒内目标将快速回复韧性值,且受到的伤害提升20%,此为独立乘区
- 击破韧性条后,目标将中断当前的蓄力等类似行为(转场Tips中有提到的哦)
- 欲望酒会的系列关卡中,有描述“XX欲望强化,造成的伤害增加30%”,此伤害提升是另一个独立乘区,同时,用对应欲望弱点的角色进行攻击,伤害提升共69%(130%*130%-1)
对于削韧:
- 仅和目标具有相同欲望,或说,造成目标欲望弱点的伤害才能进行削韧
- 击破效率:体现为普攻的削韧量,提升击破效率对被动技、终结技没有增益
- 对带有护盾的目标能正常削韧,削韧量没有变化
- 暴击、暴击伤害对削韧量没有影响
- 持续伤害、额外伤害(如熟手屠夫)、传导伤害(如末路医师)无法触发弱点伤害、削韧等效果(但生成区域造成的DOT伤害可以,如复仇童谣)
减伤
先上图,再解释

等级差-减伤公式
标红代表因数据不足导致的函数拟合可能出现问题,如图中因三次函数的增减性问题导致90、100级区间减伤不减反增
为什么不是公式而是表格呢?
因为我试了三天,终究无法用一个简洁的函数去拟合所有数据,如
- 我方对敌方的实际伤害1=我方输出伤害*(1-(敌方等级*100+200)/(敌方等级*100+2050))*(1-敌我等级差*0.01)*(1+我方等级*0.01)
- 但是仅增减性拟合程度较好,虽然总体很流畅,但是几乎没有数值算完全吻合的(包括取舍)
- 我方对敌方的实际伤害2=我方输出伤害*(1E-8*等级差^3+1E-4*等级差^2+0.0199*等级差+1)*(1-敌方减伤)
- 敌方减伤=(等级-1)/(等级-1+100),已约分
- 但是仅对某一方为1级时生效,且利用了三次函数强行拟合,其实是图中的一部分,图中是两次利用三次函数强行拟合,具体图不在这里放了,没什么意义
然后简述两条规律
- 敌我等级差为0时,随敌方等级增长,减伤显著增长
- 敌方等级不变时,随我方等级增长,增伤缓慢增长
总之,就是个人窃认为,策划填这一部分数值是一个一个填的(参考绝区零的防御公式),或者取舍次数过多(如运算个乘法就取舍一次等),导致误差增大无法找到更合适的规律(反正我技穷了……)
所以,关于下述命题,终究是无法完成了:
- 敌方对我方的伤害公式
- 防御降低、增加的实际收益(仅有少量数值,稍微谈一下)
- 部分数据丢失,目标具体信息不明,但同等情况下——
- 对首领目标直接伤害和施加防御降低10%的效果对比,伤害提升2.9%,
- 施加防御降低10%的效果和防御降低10%且防御降低7.5%(1.5%*5层)的效果对比,伤害差异23%
- 可能存在读数偏差?不过似乎也很合理……毕竟防御降低的技能确实稀缺且数值都不高,总之能肯定不是线性变化,具体收益因为时间问题和上述公式推导障碍,OVER
仅此,不过80级之前,查表是能直接得出结果的,我认为姑且足够……
此外,值得说明的是:
- 各敌方的输出伤害不同——可能基础攻击相同且攻击成长相同,但输出倍率不同(输出问题见下文)
- 各敌方的防御相同,无论普通、精英、首领,同等级下减伤率是一样的
输出伤害
整理顺序有点问题,不过无伤大雅
.
输出伤害=局内面板*伤害倍率*各伤害增加乘区,其中
- 局内面板=基础属性*(1+藏品词条属性百分比+藏品套装属性百分比+塑造属性百分比+天赋属性百分比)*额外属性增加乘区+藏品固定值属性+助战风格属性加成
- 额外属性增加乘区目前仅指特性适配的星级加成
- 简单说,就是面板=基础属性*(1+各种百分比)+各种固定值,局内局外皆如此计算,不过局外(风格信息查看页面)是用“基础属性+提升属性”这样的“+”连接表示的
- 助战风格属性加成=各助战风格属性之和的10%(仅生效生命、攻击、防御三个属性)
- 伤害倍率就是普攻、被动技、终结技描述的数值倍率
- 各伤害增加乘区包括:伤害加成、弱点伤害加成、击破伤害加成等,同名乘区加算,非同名乘区相互独立并乘算
- 其中,金钱时代系列副本中的暖气片能提供20%伤害加成,属于伤害加成乘区(和藏品能刷的伤害加成词条、风格天赋中的伤害加成是同一乘区哦)
- 至此,可以注意到,攻击乘区被稀释得非常厉害(所以目前是攻击提升的辅助技能都是路边一条,看着大几十提升,实则增效不足5%,笑了)
部分归类讨论
对下一篇章提前进行一些归类,也算是战斗内容的一部分
距离:
首先引入基本元,以作战演练I中敌方单位-夜行化拳手常态时脚下红圈(称“判定圈”)横向测量直径作元,测量数据为现实长度6.1~6.5毫米设为游戏内距离10码(单位简写,yd)
- 对于为什么是6.1~6.5一个区间,因为游戏视角有充分的透视,包括横向、纵向透视等,且会自动缩放视角范围,其中作战演练的横向透视近乎于无,便于测量
- 因为会自动缩放视角,又因为每个风格的攻击距离和视野距离(施放技能时的白圈范围)都大不相同,故产生区间,但保持不变量基本不影响测量
- 我方和敌方进入攻击动画时普遍会改变判定圈大小,故取常态进行测量(且常态稳定时间较长)
- 部分我方风格、敌方精英、敌方首领的基础红圈大小就不一样,详见后文表格
- 射击时最近距离2.1mm=3码,过近会远离,过远会靠近
- 其中,敌我双方判定圈重合时也会先远离至保持未重合距离(未重合临界即0码)
- 其中,如从敌人后方移动至前方进行攻击,则优先保持最短射击距离
- 其中,判定圈重合时优先从后方移动至前方,否则向后寻找合适射击距离
- 入场时自动保持离区域中心65码的距离,出战多名角色时依次错位入场,如图

入场站位
其中,战斗准备页面的4个主战为对应此顺序,如果有空位则自动向前填补(而不会将对应位置空着)
- 移速:2S跑130码,取65码/S基础移速
- 赠品数据:敌方击退火箭兵击退距离约25码
技能范围:基于上述的测距,作出以下划分,部分数据可能采用了取舍(略有偏差,不过无伤大雅,毕竟你游那么多数值按理说也是那么填的嘛……)
- 单体:单个目标
- 微小范围:以20yd(40%)为直径的圆(透视后呈类椭圆,后略),简称“微”
- 小范围:以35yd(70%)为直径的圆,简称“小”
- 中范围:以50yd(100%)为直径的圆,简称“中”
- 大范围:以65yd(130%)为直径的圆,简称“大”
- 超大范围:以80yd(160%)为直径的圆,简称“超”
- 其它范围:直线型,扇形,矩形
- 其中,直线型并非无限长的直线,实际上,一有足够的宽度,二有长度上限(上限普遍为风格的视野距离),其实等同于矩形
- 扇形在后文的描述中,距离数值被用来描述半径而非直径,描述格式为“(距离数值,角度)”
- 被动技的攻击范围大致为:射程(普攻距离)+被动技效果半径(毕竟技能通常呈圆形),如果是单体范围的被动技,那么攻击范围=射程
武器:

武器数值
- 其中,攻击间隔、换弹时间、平均单次攻击时间的单位均为“秒”
- 风格的普攻描述上有倍率数值,是该武器一次攻击造成的总伤害,部分武器一次攻击有多段伤害(多个伤害跳字),且多段伤害暴击率独立且遵循面板(当然,伤害期望是不变的,多段伤害的被动技、终结技也同理)
- 一次攻击有多段伤害的普攻,每段伤害均能重新索敌(仅当原先索定的目标被重伤后),但被动技、终结技的多段伤害无法重新索敌
- 自寻掩体攻击次数:在准备战斗页面对风格勾选自动寻找掩体后有意义,当该风格攻击数次后将开始自动寻找掩体掩护(详见下文),“?”代表数据不足(如火箭筒更是只有一个风格,且其每次测量的数据都不同……)或难以测量(如霰弹枪由于射程过短导致大部分时候无法触发寻找掩体,解释详见下文)
掩体
- 掩护率:躲在掩体后,受到掩体前的攻击时,此攻击被掩体阻挡的概率,由风格的特性适配星级决定,大致概率如下:
- 1星:10%
- 2星:20%
- 3星:30%
- 4星:40%
- 5星:50%?
- 掩体是会被攻击破坏的,能阻挡的攻击次数与此伤害无关,与攻击的类型(如武器、技能等)有关,如大部分技能破坏效率高,武器-炸弹类的攻击破坏效率很高,等
- 周围约20码没有掩体时,才会重新寻找掩体(包括向前向后20码);当前后20码均没有掩体时,先锋职业的风格会继续向前寻找掩体,其它职业会继续向后寻找掩体;在程序中找不到合适掩体时,不会在实际战斗中产生因此的移动
- 寻找掩体需要能在攻击范围内索敌成功
- 掩体周围有约5码的可掩护范围(即在此范围内,受到对应方向的攻击均能计算掩护率)
- 最近的掩体被队友占用后,则优先击杀当前索敌的目标后再重新寻找掩体
- 仅此,对此无需过多讨论,掩体阻挡攻击次数相当有限(除非挡BOSS大狙子弹),且具体寻找掩体流程的规律也很难描述
其它战斗相关
大部分行动分多个区域多个波次,重伤全部上一波次的敌方才会刷新下一波次,清理完一区域的全部波次会自动前往下一区域,前往过程中计时器停止、浴火恢复停止,并清空场上的效果、召唤物等,但不清除如被动技计数等(包含已普攻次数、剩余冷却时间等,包括护盾等持续时间)
欲火恢复速度:和出战的风格总数相关,包括主战风格和助战风格
- 欲火恢复速度=1欲火每(10秒/出战风格数),即
- 风格*1,欲火恢复速度=10火/秒
- 风格*2,欲火恢复速度=5火/秒
- 风格*3,欲火恢复速度=3.33火/秒
- 风格*4,欲火恢复速度=2.5火/秒
- 风格*5,欲火恢复速度=2火/秒
- 风格*6,欲火恢复速度=1.67火/秒
其实看到其它用户出的攻略写了,不过这也是我自己总结的(毕竟都有提示,规律算的也很简单),为了完整性,我也放上来了(不过计时可能存在误差,比如策划又在这里取舍了……)
效果:未特殊说明的效果同名来源上限1层,重复附加时将先清空原有的同名来源[效果]再重新添加
- 效果:包含[持续伤害]、[防御降低]、各种提升等
- 同名来源:指同一风格的同个技能,如风格-复仇童谣的终结技幽焰区域会造成持续伤害,也只能同时存在一个,连续反复施放终结技,前一个幽焰区域会消失
敌方杂谈:
- 敌方也有暴击率、暴击伤害,目前没有特化首领,故应均为基础值:5%暴击率、150%暴击伤害
- 敌方索敌优先距离自身最近的、按顺序从上往下的我方目标,每次攻击都会重新索敌距离自身最近的我方目标
- 所以,注意角色的射程,影响角色挨打的顺序
其它
- 大部分技能是脱手类型(即虽然有动画,但是伤害计算已经脱离出去了),故此类技能施放时,对该风格后续的效果(包括增益、减益)无法生效到此技能上
- 按住终结技,场上及计时器速度变为1/20,即现实20秒=实际1秒
- 施放终结技等技能期间,对应角色没有无敌效果等
- 我方角色被眩晕时无法使用终结技
- 被动技需要作为主战风格才能触发
- 单体攻击能追踪敌人(能超出原本的攻击范围)
- 当连续触发多个操作时,依次排序(如普攻动画进程中需等到普攻完成的间隔才会触发被动技的效果等),终结技可以强行终止当前动画
- 但当前操作动画的效果未触发时,将在终结技结束后重新开始尝试触发,如有前摇的被动技被终结技打断,将在终结技结束后重新从头开始进入动画
- 又如被打断的被动技将会在原地等待至开始后直接施放(如攻击型无论此处能否攻击到敌方,怪诶)
- 实际攻速=基础普攻时间/(1+各种攻击速度加成),但实际很多不生效?
- so,tell me,why?为什么42%攻击速度加成他还是1.5秒一枪???
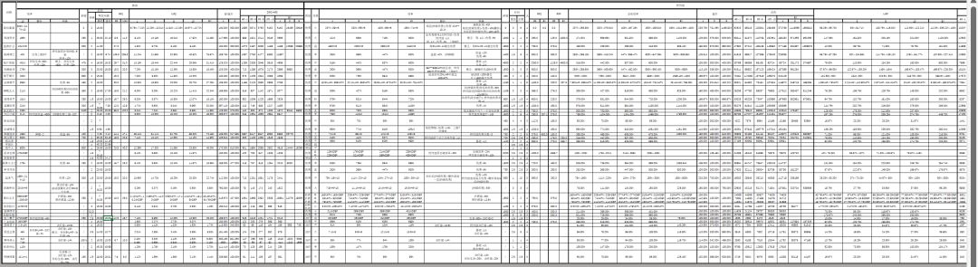
风格数值一览
一口气写到这里有点累了,那就只上图了

风格各属性数值一览
- 可见,同职业中,不同星级间差距10%左右的数值,其它规律略
风格信息一览

风格详细信息
如果图被压缩了导致不清晰,可见文末后言(私聊要excel)
风格强度一览

风格梯度参考
- 梯度评价表中,为特定条件能充分发挥角色特性的评分,按满配计算,如有特殊情况可以增加评分,下述仅为评定参考,数据在后文展示一点
- 输出:综合所有技能的输出能力评定,要求尽可能快速击杀,对BOSS则是普通要求造成更多伤害即可
- 对单普通:80%普攻DPS
- 对单精英:30%普攻,30%被动DPS,40%终结技DPF,破韧效率,注意终结技DPF同时考虑少量终结技DPS和能耗
- 对单BOSS:主终结技总伤(或主要输出手段)
- 对群普通:综合考量,普攻、被动优先
- 对群精英:主终结技DPF
- 爆发:瞬间输出的能力,短时间(小于2.5秒)可以忽视秒伤问题重视瞬间消耗的欲火所造成的伤害(若为主治疗则是治疗量的描述,下同)
- 稳定:持续性造成一定量的伤害(伤害太低了不算)
- 生存:
- 援护:保护其它队友的能力,如嘲讽、降低敌方攻击/速度/命中等
- 治疗:包括自身,为自身治疗时对单对群指敌方
- 辅助:不包括自身,非直接性伤害类
- 持续:根据各方面能力计算输出、承伤、治疗、辅助的稳定性等
- 初动:包含输出/治疗-初始欲火消耗、生存-开局承伤表现(如复活甲加分)、辅助-增益减益的开始时间
- 续航:输出的转火能力、欲火消耗的回转能力、自回血等生存能力、辅助周期覆盖率
- 对策:禁疗、破韧、生存类减益、净化
- 补个图

有点丑,但是不想做表格了,现在累累
参考了一定数据量,算了,也上个图,不过只是展示一下数据量还算充足

包糊的,hiahia
风格杂谈
有点累,就每个角色简单谈两句
- 复仇童谣:终结技数值怪,普攻、被动技也不逊色;天赋解锁技能修正节点+窥探I=天下无敌,倍率总伤独一档,无藏品拉满逆天对群伤害轻松上百万;唯一缺点是现在重复施放终结技会重置效果,不过算算六人满编队的终结技刷新问题,影响不大,抽到必练(不过这数值确实有点太高了,计算的时候还没算完美配队的伤害呢),0命已是无敌手,1命敢当天上人
- 科技部长:究极0费爆发,无奈8费初始确实卡手,初动极差,面对多精英的开局高压比较难抗,优势突出,短板明显,需要专门的低费过牌配队,或者留着当一个超级低费救场技(不过收益不高吧),不然不玩,个人不是很推荐练,虽然在数值计算上是非常优秀的角色
- 巡游护卫:肉装综合数值怪,集伤害治疗一体,对单不弱,对群无敌,第二位无藏品拉满轻松百万总伤,不过不是面对群怪自回血肯定完全跟不上,而且自身防御明显低很多,不过血厚一点倒也算得上补偿,可惜藏品没有一个适合的(二件套没一个加生命),总之,抽到必练
- 假面绅士:人多就是胜利,对单强,会走位分身也能用于抗伤,不过是五星数值略低一点,但终结技爆发依旧出色,值得一练
- 胶片信徒:机制优秀,无奈数值严重欠缺(怎么看着很像崩铁希儿的亚子,是的,我又踩坑了),虐菜无敌手,窥探III解锁后1费终结技乱杀,虽然倍率不高但是我用的次数多啊~可惜头顶同赛道有两只数值怪,加上数值策划的小巧思,同等级下刚好打不死怪,没有数值怪的时候可练(打不死怪看到又变回3费真的很烦哦~)
- 末路医师:3费不卡手,相当于额外增伤的魂魄在大多数情况下比熟手屠夫还好用,而且最多还能对三,加上魂魄如果生成在目标身后,大招立刻就能造成伤害,出伤也很快
- 熟手屠夫:对精英首领数值怪,400%攻击力无视减伤的固定额外伤害,在百级互殴中的单体伤害能压复仇童谣一头,加上天赋解锁后被动技100%暴击也是非常的偷税啊,但是除了百暴终结技外其它就很逊色了,而放在助战位就没有被动技了,不过目前角色不多,还是能作为主战位出战打BOSS的
- 丛林猎手:没什么好说的,技能组自我完善,可惜伤害中规中矩(还容易暴毙),不推荐
- 缄默之人:有辅助伤害不俗,没辅助路边一条,40级有养成返还,过渡用
- 温情杀手:终结技伤害意外不低,禁疗对策目前倒没多大用,暂不考虑
- 温雅执事:禁疗对策,略,不推荐
- 夜店舞王:伤害不低,但是终结技瞄准不太得劲,如果是助战位那更是一坨,不推荐练度过高
- 灾厄小姐:据说上测是五星,但是被动注定她需要对单环境,转火断被动,我觉得不太行,不过终结技总伤还是比较充裕的
- 职业囚徒:减命中生存对策卡,过,数值倍率全路边
- 忠诚锋刃:高速攻击,技能自洽循环,但毕竟四星,中规中矩,1命倒是能给生存减压,但还是不推荐
- 雷霆统帅:减伤乘区影响很大,虽然大招5费但天赋解锁后的倍率非常优秀,又碍于群攻数值怪,但反正,抽到就可以练,加上攻击稀释,其1命效果就是路边……
- 热沙骑士:有点尴尬的角色,伤害较低,增益是攻击提升,终结技能为下一个终结技减1费,但是自己终结技就要4费了,暂不推荐
- 暗访者:好稀有的五星卡(六星卡出一堆,五星卡满命一堆的情况下,才出来一张),被动加暴伤覆盖率还算挺高(只要不被藏品什么的稀释确实很不错的),3费大招还带驱散,我觉得比热沙骑士强多了(指指点点),但是被动技需要出战位……嗯,有点尴尬,可以考虑
- 军团长:新手七日全部完成后领取,除了大招带群体位移算对策,其它一无是处,被动覆盖率低,自身伤害低,大招是攻击提升……(攻击提升的都是区www)
- 戏中人:稀有的暴击拐,3命后暴击提升覆盖率非常高,助战位好手,3费大招过牌也算流畅
- 斩杀先锋:奇奇怪怪的击破手,但是击破效率有提升但不足,或许对精英怪是好手(但是为什么不试试数值怪呢?),伤害略低,暂不考虑
- 财富新贵:目前唯二暴击拐,3费大招带净化,和戏中人一样,加上只是四星很好获取,而且甚至不太需要练度(当然,要提升技能等级那是的)
- 家族小卫士:对首领驱散对策,终结技单体伤害不俗,不过是四星,还是在助战位待着吧,有需要对策可练
- 率性导师:你是?教鞭这俩风格都挺尴尬的,大招有一点对策但没什么用,不推荐
- 起床气:伤害其实勉勉强强,持续伤害效果上的很勤快,配合缄默之人等等中规中矩,dot队吗?我不好说
- 深渊审判:被动受击治疗在大多数情况下还是太尴尬了,但如果环境合适那么1命收益也很大能抗更高压,可惜,合适的环境难找,只能靠六星面板站站场,倒是不如赠送的金牌律师了
- 泰拉之主:唯一护盾,被动技如果能拉满伤害也不俗(可以不可能的啦,十秒内盾包被破的好吧~),藏品也欠缺合适的,不过助战位倒常有奇效,一人撑起一队生存压力,主战倒也不差,不过越级能力略显欠缺,毕竟4费大招还是比较卡手的
- 海滨假日:超级陷阱,除了被动治疗量勉勉强强,大招吸引火力,但只能吸引3秒,“时间到了,我就会死”,作为助战位还行但也刚需等级(不然就等着分身被光速融化吧),加上前往下一个区域会清空分身等,囤也囤不了,不推荐(但是我也踩坑了……)
- 金牌律师:高贵的复活甲,越级战斗开局抗压第一人,无需技能能越20级硬抗到接近回满欲火,加上大招位移击退眩晕对策,功能性极强,我觉得泛用性甚至高于泰拉之主,记得是签到第二天赠送?爽!
- 狂野先锋:很高的大招倍率,可惜是先锋职业倒是伤害一般,不明意义的5秒高额防御然后继续睡觉,防御提升这一块我不好说,看着被动只能说有点一般,没有自疗能力全是减伤,实战倒也还算能抗,但哪有复活甲好用?(你防御再高也翻不了一倍啊,还不如向天再借一条命呢~)
- 地下拳手:异常优秀的过牌手,不升级直接丢助战过牌也不差(适合前中期有练度的角色不足六位时补位用,反正助战属性加成就那么一点点,一般不差这点),我觉得能和科技部长配合的,就算作为主战位抗伤,行动前锁大招,2费大招非常不卡手啊,而且治疗量也不算太低,生命低于50%还能翻倍,越级生存个十几秒问题不大(当然比不过复活甲大人了……),可以考虑的角色
- 三流侦探:天赋解锁,10秒50%减攻速的大招,非常的NICE啊,助战位生存对策卡,嗯……其它就没有了
- 爱财君子:唯一的六星治疗,微弱的辅助能力,六星的数值碾压,除此之外,我觉得非常一般,作为六星,我还是最后抽到,这时候早该有其它高练度的奶了吧,那时候就不太推荐再练了
- 后起之秀:大招群体位移,群奶数值还行,在目标低血量时治疗量接近爱财君子的数值,反正,爱练就练吧,打不过的问题基本不是差在这里
- 香料商人:被动治疗覆盖率高,大量治疗加成的天赋节点使数值也不逊色,想练就练
- 贴身侍从:唯一单奶,天赋解锁1费初动大招非常爽(可惜助战位不减费我觉得就是BUG),还带位移对策,灵活交替抗伤角色,个人很推荐,不过注意终结技的前摇,和一局堪堪两次触发的被动……哈哈……
- 铁桶怪客:新手奶爸,1命强化主战治疗收益(不过主战还是有点亏了),反正40级养成返还,到时候再说吧~
好感度
好感度以角色为基础,上限21级,其中:
- 0~8级:10认知度/级
- 8~14级:20认知度/级
- 14~16级:50认知度/级
- 16~18级:100认知度/级
- 18~20级:150认知度/级
- 20~21级:200认知度/级
常规礼物(如西西莉亚的垂青)+1认知度
喜欢的礼物+5认知度,其中
- 小大人<喜好>迷你手电筒
- 暴君 <喜好>枪械图纸
- 教鞭 <喜好>手工相册
- 刀锋 <喜好>提线人
- 替罪羊<喜好>绵阳钥匙扣
没有刷到其它特殊礼物了,不过总体其实挺好猜,更好一个个试过去,随便写写,哈哈……
秘密派遣
这里其实就是数据缺失比较多的区域了,可以不看,只是挑了点有代表性的放上来
秘密派遣:刷新每日免费3次,然后消耗金砖10-10-10-10-30-30,然后不能再刷新
- 开始派遣需要任意四种风格
- 二星:1%传闻+2西西莉亚的垂青+额外:3灵感自选礼包I/3夜行结晶/4500启明币/45作战报告;获取额外奖励需要派遣指定欲望的风格
- 三星:3%传闻+3西西莉亚的垂青+额外:5灵感自选礼包I/5夜行结晶/9000启明币/90作战报告;获取额外奖励需要派遣1位指定角色的任意风格
- 五星:5%传闻+5西西莉亚的垂青+额外:?;获取额外奖励需要派遣1位指定角色的任意风格
- 特殊:100%传闻+10西西莉亚的垂青+额外?;获取额外奖励需要派遣2位指定角色的任意风格
其实特殊我做过两个的……五星任务也做过很多,可惜那时候都忘记记录了(或者那时候还没想做攻略呢……)
- 派遣等级:关注度在游戏呈子弹图标
- LV.0:20关注度+6任务数
- LV.1:100关注度+30任务数
- LV.2:200关注度+60任务数
- 因游戏中已有派遣等级-任务星级刷新概率的图,不抄了……
小技巧
分享部分对游戏的小巧思、一些值得注意的问题
- 罪恶博弈若不修改,则咬牙打过前两关,第三关开始后子弹全射自己快速输两回合即可(收益最高,直接退出不计数的)(透视真弹,爆裂伤害+1,爽)
- 新手御三家培养至40级资源返还(第二天缄默之人、第三天三流侦探,第四天铁桶怪客)
- 行动开始前,可以在预设中选择最多三个技能作为进入战斗的持有(选择少于三个,将随机填补);行动开始后,终结技将按随机顺序(此顺序贯彻本次行动)排列成队列,并依次抽取,被使用的终结技将出队进入队尾重新等待抽取(如果持有的终结技少于三个不再触发队列排列)
- 基于科技部长+热沙骑士(+胶片信徒),助战地下拳手高速过牌流(此玩家并未对此作过多说明,hiahia,偷懒ing),实际收益估计不如复仇幽灵带队的常规阵容
- 注意贴身侍从的终结技有较长前摇,切勿在需要治疗的目标正在/将要移动时使用,不然可能给错目标了
吐槽与BUG反馈
有点碎碎念了,稍微注意了一下措辞,剩下的就不调整了,是游玩期间边玩边写的,所以吐槽居多
罪恶博弈暂停退出需要在自己回合才能操作
罪恶博弈概率依旧存在偏差,开始十几次50%的开枪概率猜不中一次,后续回归正常(前期明显不对,而且就我玩过的几乎每个游戏都这样?)
罪恶博弈作为周循环收益,很差,应该很多人不喜,且其动画过场时间太长(就当你的设计是为了更有带入感,那么体验依旧不佳),运气成分偏重,手感连续性差,有一点策略性
不怼,罪恶博弈中,谁家左轮能塞8颗子弹了?(7颗算你上膛一颗勉强过了)
罪恶博弈逆天概率学,第一周开始第一关猜真假50%概率连错十几次(开局猜错了就退),第二周第三关能在1假4真打自己抽中假蛋且概率超过30%(总入局数30+,即一共60+回合,此概率近20次),并且还如1假3真对方打自己抽中假蛋概率也很高(这不对吧,再怎么样概率不重要给我随机成这样?真随机?)
主线关卡难度总体过高
日常周常奖励中,金砖数量周期循环偏少,经验书、金币严重偏少(前期非常缺书,解锁家族商店暂缓一口气但依旧很缺,中后期不仅缺书,金币也没有了,什么都得打,什么都攒不了)
释放技能时,技能范围是否包含目标显示不清(尤其是夜店舞王这种直线型细长的技能范围)
扇形、直线型助战位支援终结技施放无法自由选定目标、范围(被自动化了,手感非常差且实用性差)
大量角色技能在助战位无意义(被阉割算小问题,很多没有追加说明在助战位的效果)
以胶片信徒·焦点的塑造为反例,塑造五个为生命*2+攻击*2+防御(甚至前两塑一点输出能力没给,天赋不算),你好歹给暴击爆伤呢?(对比其它部分输出,无论单攻群攻,都至少有3塑是输出向,比如舞王攻击*3,复仇童谣攻击*2+爆伤*1,缄默之人攻击*2+暴击*1等等)
注意巡游护卫的藏品推荐不正确,应该带生命套装(谁让你推荐主副词条都选攻击了???)
体力优化:升级回复的体力可以手动后置领取(新手启程任务一键领取一堆经验体力直接溢出了);每日饮品限定时间增长(太局限了,)
戏中人、灾厄小姐、率性导师、职业囚徒、热沙骑士的这类天赋提升中,最下层顺序不对,需要先解锁一个材料消耗高的属性提升节点
斩杀先锋、灾厄小姐、香料商人的塑造给的属性提升异常,3%和5%反了,且斩杀先锋的天赋I是10%伤害减免而非2%伤害减免(疑似更改星级后却没改塑造加成)
财富新贵的塑造IV只给3%爆伤?(应该至少5%吧)
率性导师的天赋与终结技本身描述不符,到底是[束缚]还是[缠绕]?
塑造页面不对,待久了特别卡,切换到其它页面就不会
金牌律师晋升属性预览,三维属性顺序不正常(生命到第三去了)
如率性导师,直线范围不如全改为矩形范围(他视野范围太小了,直线都不像了)
新手角色养成返还不到位(受天数限制,晋升材料没返还(虽然有其它任务给自选材料))
当长按终极技不适用,松开后终结技将保持选中状态,且场上计数器时间流速降低,此时选择暂停等其它操作,相应及其动画速度也降低为1/20,直接这样退出后将一直延续到完全退出关卡才行
BUFF图标过小,很难看清且不能有效分析具体效果(暂停后允许查看各个角色甚至包括敌方信息更好了)
各种欲望特调缺少时,点击图标没有显示特调自选礼包这类获取途径快捷选择
如胶片信徒,塑造III的终结技消耗减少,当在支援位时不生效,及贴身侍从、后起之秀的天赋的终结技消耗减少在支援位同样不生效
大量角色的部分塑造均无法再支援位生效?(如海滨假日塑造III的分身爆炸眩晕效果等)
假面绅士无法接受贴身侍从终结技的引导(无动于衷):当在身后召唤分身后,无法响应身后紫罗兰的移动邀请(身前的可以)
如家族小卫士的破韧值可能是错误的,因为就少数几位手枪是双枪形态造成2次伤害(总倍率是和1次的相近),导致破韧值翻倍?
雷霆统帅的被动技描述错误,电极上限10层非9层;终结技最多5层减防,却清空全部电极?
攻击稀释过于严重了吧……
抽卡商店兑换作战报告比率严重不合理
复仇童谣终结技生成的幽焰区域大小比实际生效范围小一圈
从天而降的技能存在意外导致落在场地外或被不知名空气墙阻挡(如复仇童谣被动技,不过此情景难以复刻)
数据可得,复仇童谣终结技持续伤害层数带来的伤害提升,在没有其它持续伤害时自身终结技附加的持续伤害不计入层数,当期间或生成前有其它持续伤害时,本终结技才计入层数
如复仇幽灵,终结技前面写幽焰区域,后面写燃烧区域,小问题
少数角色如家族小卫士、温情杀手,被动技写着“对当前目标……”,实际攻击时完全不锁敌(即利于侍从的技能使移动出普攻范围+技能半径的距离,其此时正好施放被动技的话将完全打空),然而其它大部分角色都会移动等到锁定目标再施放技能
喷火兵有点过强了,大范围(甚至能打到中排),连续高伤,换弹歇息时间短,零帧起手
紫色藏品的生命固定值,升级提升的属性唯一差异,疑似把0.75写成0.7575(怎么就你这么特殊???),还有红色藏品的固定生命副词条,看不懂这数值怎么填写的,非常不符合规律
每日饮品除了时间限制问题,在上一菜单栏-计划图标时没有红点提示
后言碎碎念
又到了可可每个攻略最喜欢的碎碎念环节(并非最喜欢,并非并非)
先夸一句,游戏技能文本比较规范(比如很统一用“施放技能”这样的规则描述),强迫症狂喜
好了,剩下都是缺点了不想多提……
其实写了这么久,反而脑袋空空了,原本想碎碎念的千言万语都变成一个按钮——发布,然后睡觉
夜幕之下好玩吗?并不好玩
那我为什么做这个攻略?兴致使然
感觉是自己做不成游戏,所以抄写一遍数据体验开发者的乐趣,笨蛋数据控的快乐大抵如此了
附上几张图纪念一下





最后一刻,燃尽了,别问体力为什么不用,纯懒

8天76小时!
关服前二十分钟抽出了最后一个六星,爱财君子,然后光速测完数据,可惜不能更进一步,不过完整性还是保证了,hiahia
二测全角色,全升级,全使用,全测评
仅此……
三测或公测大抵是不会再玩了,毕竟可玩性嘛……毕竟我不是为了XP来玩的……
哦对了,如果文中的表格想要一手,可以私聊,免费
不过注意,最多两周表格就会被我丢回收站咯(我不需要留底啊,反正做来玩的,虽然花了不少时间),然后什么时候一键清空就说不准咯……
然后,这几天有点事,等回来再回复,别急……不急……
不过说实在的……没什么人气,感觉这个帖子能被看到都是公测时候的事情了……哈哈……哈哈……
这里是刚出道的个人业余攻略组RAIN,晚安~



