消除王的蒙特卡罗树搜索(mcts)解法初探
修改于2021/01/032745 浏览攻略
0. 缘由
获得消除王的较优解一直是我的愿望之一(所谓较优解,就是大概能上榜的意思)。接近两年前, wall-knight的帖子 已经提出过一种思路(虽然现在来看略粗糙了),在那以后,我慢慢弄懂了召合的消除规则,最近了解到了mcts方法,就尝试了一下,效果是尚可的,凌晨时在第一,现在应该是第二。

1.我是消除王的规则
消除王当然符合一般的消除规则,即:
交换:交换怪物位置→ 初始消除→ ①下落→ ②补充→③一般消除→ 如③进行则跳转至①
拖出:拖出怪物→ ①下落→ ②补充→ ③一般消除→如③进行则跳转至①
具体可见于:
消除王的特殊之处在于,其补充队列是固定、每12个一循环的,所以如果初始状态和进行的操作相同,最终的结果就完全一样(这和章节、魔王等是不同的),即消除王不涉及任何随机过程,因此较优解更容易得到,也更容易比较(有排行榜)。
任一步操作之前/之后,我们都可以用沙盘+剩余步数+分数以及目前在补充序列中的位置 来完全描述当前的状态。记作S(table,steps,score,fill_id)。
对于任一状态,我们都可以选择(可以造成消除的)交换或拖出。这样的操作记作a,即:S-a->S'
显然,对于初始状态S0,我们有几十种可选的操作,相应可得到几十种S1,每个S1又对应几十个S2,如果我们将所有可能性画出来,就形成了一棵n叉树。这棵树有多大?以今天(2021年1月3日)的消除王举例,共45步,每步至少算30种可能,即使不算拖紫拖橙加的步数,也有30^45=2.95×10^66种可能。这个数量并不太大,至少比宇宙中原子的数量少得多——我的意思是,当然也比围棋的可能性少得多,围棋尚可以解决,消除王当然要轻松容易得多。我们知道AlphaGo的原理是一个经过了很多优化的蒙特卡罗树搜索(mcts),那么消除王能不能用一个简单的mcts就解决呢?
2.蒙特卡罗树搜索和改动
具体步骤可以参见:如何学习蒙特卡罗树搜索(MCTS)这里不赘述。
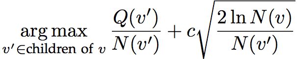
一言以蔽之,mcts的大致步骤是,选择,扩展,模拟和回溯,其基本思想是,我们显然不能完整构建出前述的n叉树(除非量子计算机被成功发明),那么就应该选择较有价值的分支进行扩展,其判断依据是:

其中v'表示当前树节点,v表示父节点,Q表示这个树节点的累计quality值,N表示这个树节点的visit次数,c是一个常量。这个公式并不难理解,它是选择分支时的一个综合考虑,兼顾先前选择较少的分支+quality值较大的分支。由于目的是分数最高,令quality=η*score,η是归一化参数,如今天的最高分大概是10000+,η=0.0001较好。另一方面,η实际上可以起到调节收敛速度的作用,η较大时收敛快,最终分数可能就较低,反之收敛慢,分数可能高一点;
另外,随机扩展的结果并不好,这里我作出的改动是,只会进行造成消除数最多和次多的交换和紫、橙拖出,消除数最多很容易实现,用fill_id最大的就可(当然理应使用消除数前n的交换,待改进);
模拟时则是简单的在每一步,都任意选择所有可行操作之一,直至没有步数然后给出分数。总的来说不算复杂,希望大家都可以复现成功。
3.一些细节
说一下C++实现时的数据结构好了,复现可以参考,更具体的如果有人感兴趣我会更新在楼下。
首先是游戏状态:

操作步骤:

这里四个数全正时为交换,x2=y2=-1时就是拖出[x1,y1]
最重要的组成树的node:

前两个不解释了;
isAllExplored 主要是为了解决消除完成之后,程序会可能不断选择同样的路线导致重复,因此消除完成时isAllExplored=true,而所有子节点均探索完成之后,父节点的isAllExplored值也为true;parent,children,state不解释;
后面的大致是,对于一个state,我们有若干可选的操作,这些都存储在vector<struct action> feasibleActions中,而任一节点只存储它所选的那个操作的序号,即subNode->parent->feasibleActions[subNode->actId]是subNode的上一个操作。
4.目前的发现
mcts很容易陷入局部最优,我们当然可以设定更小的η来增大搜索的广度,但是会极大提高计算量,而且很可能无法得到更优的结果,因为最优解可能在离局部最优很远的地方——拖橙。没错,mcts不会拖橙,即使限制某个家族不拖紫,因为太菜也无法达到拖橙的效果(最多的时候好像是两紫两蓝)。
总的来说可以改进的地方还很多,慢慢来吧。
5.额外的话
在搞清楚消除规则之后,目前已经做到了:
1)战棋消除,35波时38~45均消;
2)魔王消除,主力14紫+肉盾1橙
3)消除王消除,可以上榜,以后再争第一
还差一个就是竞技场啦,竞技场补充队列随机,而且限时,是最麻烦的部分了,希望有搞定的一天~


