没忍住,多图,慎入
咱不是云玩家吧,该氪的氪了,该肝也肝了。如果可以我每个月基本可以保证月卡+通行证。但是吃了个大保底我发现不是那么个事儿啊,我一个卡池,月卡+通行证+98x2+128+198,500来块,脸黑一下,吃个连大保底,我连个图鉴都开不了,这游戏好像我有点玩不起了,咱没个那个命,也没那个财力。卸了吧。太累了。
洁尔佩塔出了,金转红,吓了我一跳,因为才20抽就出了,然后拿着武库配额去抽了莱万汀的武器,总共60抽,总算出了,现在莱万汀有武器了,我想问一下,洁尔佩塔的武器有没有好一点的下位替代,我感觉我可能肝不出来了现在我背包里还有好几个武器、干员自选,从来没开过,不知道那里面有没有合适的#明日方舟终末地 #明日方舟终末地洁尔佩塔 #游戏日常
「影拓丰碑」玩法介绍
「影拓丰碑」是周期性更新的常驻高难度战斗玩法。战争与英雄,厮杀与铭记……故事会在无数肃穆的留影中传递下去,即便刻满丰碑亦不终结。大地的伤痕与未曾断绝的传说——请您见证。
「终末地」驮兽产物的妙用
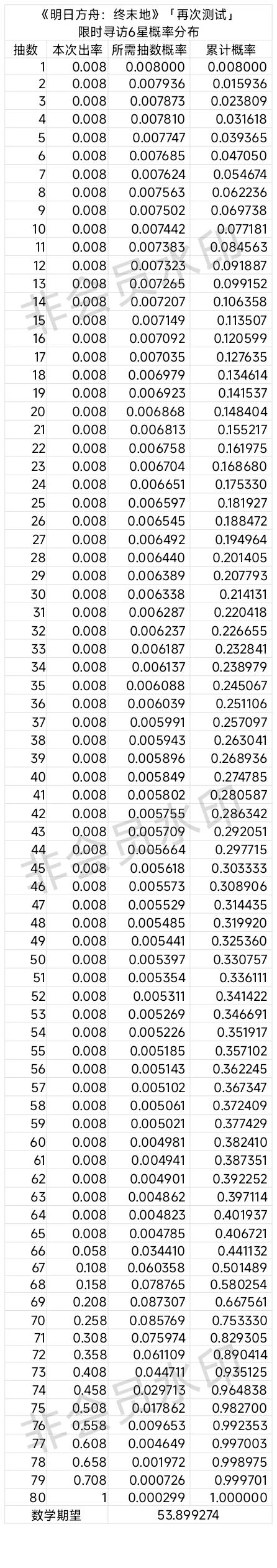
///管理员们好!这里是洁哥卡池又大保底的天( ´•̥̥̥ω•̥̥̥` ),不知道大家都获得洁尔佩塔的信物了吗?开服至今,相信大家已经在探索武陵,并且跃跃欲试高难关限时镀层了。而在武陵,绿水青山,科学兴田,日常捡捡驮兽**也能有奇妙作用。通过其加工成的“膨地啪”(不是金坷垃)施予田地获得增产的种植物,与不同食材一起制作可以获得战斗强力加成,为管理员蚀刻章镀层再添一份助力。▼//本篇内容基
终末地开服全角色强度榜!开荒榜攻坚榜一图流&全角色讲解
终末地开荒阶段哪个角色比较强?在后期好不好用?我有这几个角色,可以组什么队伍?想必各位小伙伴在开服阶段一定会有这样的疑问终末地开服全角色强度榜,我们按照角色在三测中的综合使用体验:包括就业泛用性,角色个体强度等因素;为大家提供了前期开荒榜和后期攻坚榜两个榜单来参考角色强度本榜单按照突击,近卫,术士,先锋,辅助,重装六个角色职业来进行区分,纵向对比角色强度,至于每个职业的作用是什么,会在后面每个
孩子们,你们还有多少抽?
我之前抽42,抽了不少,现在主线支线都弄完了,箱子也开了不少,每天的玉全靠月卡和日活,这游戏抽卡好少,,,等庄出来了还能抽嘛。。。。
知名媒体预测称终末地首年流水有望破150亿
#今天游戏圈发生了啥 #资讯评论员 #明日方舟终末地 #明日方舟 近日,据国内知名媒体GameQuest分析称鹰角网络新作《明日方舟:终末地》在2026年的首年流水有望突破150亿元,这一预测基于游戏开服后的强劲表现,上线仅三日,其iOS端流水已达8360万元,日均流水稳定在2800万区间,尽管鹰角网络内部人士对150亿预测持谨慎态度,但游戏展现出的爆发力已引发行业关注,若该预测成真终末地将跻身
仅需两张蓝图 武陵毕业!植物只放砂叶
亮点1:矿全部用完,且完美自循环亮点2:只需要主基地,且无需升级亮点3:仅两张蓝图,植物只放砂叶EF01Oe467E3AiI3494e4EF015i29eO8UAu91eIoe
终末地基建:前中后期全类蓝图分享计划(四号谷地篇)
武陵基建入口:https://www.taptap.cn/moment/764534231836656596此贴专门用于分享各类自创蓝图组件,设计理念以全功率生产为前提尽可能紧凑,方便,美观为主,作为基地组件可以按需自取灵活放置。#游戏攻略 ##明日方舟终末地 ##明日方舟终末地公测 常见Q&A 问:蓝图在哪?答:蓝图及其分享码均在后续评论中发布,如要直接查看,勾选只看作者
忏悔贴
事情是这样的我眼瞎点到一个武陵1.5万的单当时心态就炸了想着失去的六万票,整个人都是崩溃的四处找地方看能不能把这单给退了折腾了十来分钟无果遂每个传送点传了一遍...传完又后悔不该毁单,此举可能伤害了一位初入武陵萌新的心。故此忏悔下图为资深快递员资质证明若该萌新看到此贴,本人愿意无偿为其拉全图滑索
空空如也
也许宝藏只是换了个藏身之处