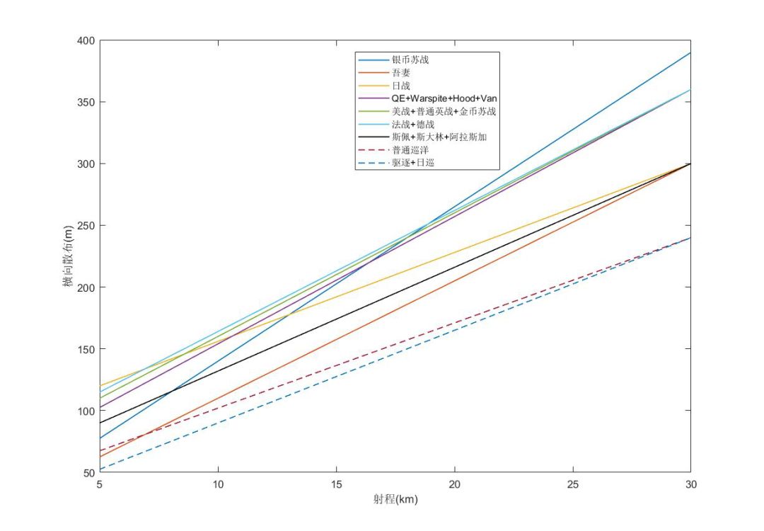
对于散步公式的模拟-巡洋舰篇
精华修改于2019/08/111350 浏览研究与脑洞

前言
你游打出去炮弹的散步,是由散步圈(横向+纵向),炮弹离散程度(以及我们不太清楚的其他魔法机制,比如写个强制打散炮弹的程序了,齐射影响散步了等等)决定。
所谓散步公式,既游戏中每艘船散步圈大小随距离的关系。游戏中只给出了几个特殊点的取整数值,并未给出明确函数。由于wows目前量化的只有横向散步,而且都是一次函数,故推广到你游,模拟散最大散步大小与距离的线性关系。
你游给出了纵向散步大小,相比窝窝屎的和末端弹道的投影相关就增加了些确定性。然而在3月机制改动增加西格玛值后,官方不知为何并未公布,对于玩家来说唯一作为炮弹离散程度的参考数值就只是那个火控精度了。但是那个数值进行相对的参考比较倒也还行,但我是不知道这怎么和炮弹的正态分布的标准差进行联系。所以本贴只分析散步圈,离散程度这个东西以后如果有机会再说吧。
部分数据引自战舰世界维基百科


勘误
在于策划取得联系后,得知火控数值与炮弹离散程度完全没有关系。火控数值与散步椭圆的横纵轴之和相关(说真的,横纵轴只和有半点参考价值吗?不如用半轴之积来算),而且官方有个参数控制横纵轴比。官方连离心率都懒得算吗(@_@;)


