【更新预告】白色尖塔领主系统调整

修改于2020/07/201177 浏览爆料公告
TapTap
数周前,我们对天梯匹配进行了修改,使天梯积分及更新规则更为透明。 当时我们就指出,我们天梯模式的设计是为了平衡两个本质上有分歧的目标:让玩家了解自己的进度,同时准确地衡量技术水平。 我们很高兴从“初出茅庐”一直到“称霸天下”的等级间,我们都实现了这两个目标之间的平衡。 可是,在当前的设计中,白色尖塔领主排行榜倾向于列出玩《刀塔霸业》最多的玩家,而我们听到大量玩家反馈说,应该是列出玩得最好的玩家。 换言之,对于白色尖塔领主这一等级来说,指标应该完全转为“准确地衡量技术水平”。
因此我们进行了两处会影响白色尖塔领主的修改,并会在下次更新时上线。
首先,我们将白色尖塔领主的天梯积分更新所使用的系统转换为众所周知的 ELO等级分制度[en.wikipedia.org]。 在整个制度中,获得或失去的天梯点数视对手水平而定。 玩家相对于对手的天梯积分越多,风险就越大:获胜增加的积分较少,而落败失去的积分较多。 此外,视对手的天梯积分而定,获得第 4 名或以上天梯积分有可能降低,而获得第 5 名或以下天梯积分有可能增加。
其次,我们会调整达到白色尖塔领主等级后给予的奖励,以使新登榜的领主起始积分为大约 15,000 分。 这意味着玩家的天梯积分有升降的空间,而玩家不会在 7600 分处扎堆。
以下是对一些问题的回答。
现有的白色尖塔领主会怎么样?
我们会将现有领主的天梯积分调整至新范围,并稍微进行了压缩。 排行榜上的位置将保持不变。
获得称霸天下等级的玩家与白色尖塔领主同场竞技会怎么样?
称霸天下玩家的天梯积分和以往一样,使用仅按比赛名次的固定分值继续更新,不受对手天梯影响。 为了使用后文的 ELO 公式更新领主的天梯,称霸天下玩家的天梯积分将反映到白色尖塔领主的分值范围内。
可以组队吗?
目前可以。 组队进行高级别天梯比赛没有其他限制。 因此,白色尖塔领主可以继续与任何天梯等级的好友组队比赛,而与称霸天下玩家组队的低等级玩家可能会与领主进行比赛。 与从前一样,属于同一队伍的玩家不会影响彼此的天梯。 转为使用 ELO 制度需要对一条规则进行修改:为了更新领主的天梯积分,等级低于称霸天下的玩家将不予以考虑。 这样做的目的是使玩家难以创建会导致领主高风险低收益的比赛。
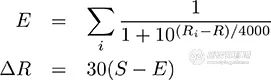
积分如何计算?我们使用标准 ELO 公式,其中 K=3,所有天梯积分均乘以 10。 公式为:
TapTap
其中 R 为玩家天梯,Rᵢ 为每个对手的天梯,S 为先于玩家遭到淘汰的对手数量,而 ΔR 为天梯变化。
如果所有玩家天梯积分完全相同,则计算所获得的数字与较低天梯采用的固定分值计算结果大体相同。
TapTap
为了让大家了解比赛中天梯排名差距能如何导致分数得失,下面列出一些例子。在这些例子中一名玩家获得的分数远高于或低于其他(天梯积分相同的)玩家。
TapTap
6
6