我又回来了
2020/05/17301 浏览攻略
经过两周不间断的学校生活,包括开学考试(当然没出成绩,出成绩后我可能就回不来了),我又回到了熟悉的论坛
正好来雷厉风行地科普一下我在学校里无聊时瞎想的东西
指防空
对于单个防空圈,我们姑且认为其机制就是:

其中X是指击落时的开火次数,D指单发伤害,H指飞机耐久
看起来这样不好看,我们改写一下:

我们可以把H/D重新定义为M,即:

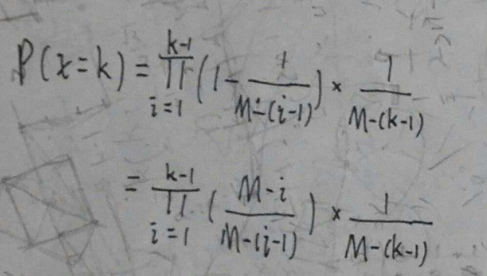
通过累乘把条件概率去掉:

约分,结果是当M为整数时
P(X=k)=1/M(k取1到M的整数)
很明显,这是很简单的离散型均匀分布(简单个毛线,我宁愿它是几何分布)
而往往M不是整数,我们把M分为整数部分A和小数部分B,有
P(X=k)=1/M(k取1到A的整数),
P(X=A+1)=B/M
这个就不完全是均匀分布了
对于M是整数,其均值就是很简单的(M+1)/2
否则是(A+1)(A+2B)/2M
(方差我就不计算了,再见)
但这样的结果是:同秒伤时攻速越慢效果越好,因为低攻速的第一发就占据优势,然后当高攻速的多打了几炮,刚刚追平的时候,低攻速的就又会开一炮而继续占优,直到扣完飞机耐久,结束分布列(这就很奇怪了,我都不知道为什么是这样)
然后考虑一个这样的离散型随机变量:在N次攻击中击落的飞机数ξ,经过漫长的推导,得到:

而N大于M时,这个分布列莫名复杂,我不知道对不对,首先是

而当k小于N-M时,又是

这玩意怎么看都不是泊松分布吧,简直乱七八糟,搞什么嘛


