求一卡组在更多场次下的胜率95%置信度的置信区间(简化公式)
精华修改于2021/11/092286 浏览
众所周知,由于样本大小的限制,我们只能够从统计的数据中得出一套卡组在更多场次的情况下会表现的如何(即胜率如何),而这不可避免的会导致误差,因此,我们无法直接拿一周统计的数字作为一套卡组在更多场次下的胜率,而只能计算出一卡组在更多场次下的胜率的置信区间。运用这样的数学方法,我们可以看到更逼近卡组真实强度的数据
取置信度0.95,α = 0.05
n足够大,服从二项分布,(np>5,n(1-p)>5),近似服从正态分布N(np,np(1-p))
z(α/2)=1.96
胜场标准差σ=√(np(1-p))
n=(总对局数)•(出场率) p为卡组胜率
胜场置信区间为[np-1.96√(np(1-p)),np+1.96√(np(1-p))]
∴胜率置信区间为[(np+1.96√(np(1-p)))/n,(np+1.96√(np(1-p)))/n]
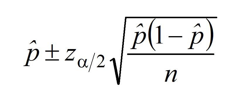
即[p-1.96√(p(1-p)/n),p+1.96√(p(1-p)/n)]
或根据群体比例置信区间的公式计算:

结果也是一致的。
以6月12日到6月20日数据周报为例

可以看到,出场率最高的监听矩置信区间很窄,胜率相差不大,而出场率最低的中立松岛则是48.3%到61.3%的胜率,是t3到t0的胜率,因此可以说,出场率较低的卡组胜率极不准确
EXCEL上使用的公式分别为:
=热门牌组!D2-1.96*(((热门牌组!D2*(1-热门牌组!D2))/(SUM(总览!B$2:B$7)*热门牌组!C2))^(1/2))
=热门牌组!D2+1.96*(((热门牌组!D2*(1-热门牌组!D2))/(SUM(总览!B$2:B$7)*热门牌组!C2))^(1/2))
通过公式我们还可以计算一下曾经公布过一次的神段周报卡组的置信区间:神段就算最多的出场率5.84%的卡组置信区间也有6%宽,第15名出场率的1.16%高达14%宽,出场率56名即0.33%出场率的卡组置信区间宽26%;可以说,神段周报的胜率非常不准确

