【获奖名单】萌宠来袭
萌宠来袭中奖名单来啦~
【抽奖方式】
本次活动抽奖与活动贴下方回复楼层进行抽奖。
【名单公布时间】
11月28日公布获奖名单如下:
【获奖名单】
【特等奖】

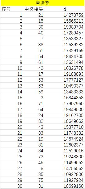
【幸运奖】


【活动奖励】
【特等奖】30名:2自选传说礼包、2000钻石、鸡腿*100;
【幸运奖】60名:1自选传说礼包、1000钻石、鸡腿*50;
【参与奖】所有参加活动的玩家均可领取:基础礼包内容:12小时经验*2、12小时金币*2、钻石*1000;
【领奖时间】
奖励将在今天通过邮箱进行发放。
有疑问者可前往【转生成为魔物】Q群咨询Q群管理员(胖胖鱼、白白熊)。
【领奖说明】
1.获奖的玩家我们会将奖励直接发放到各位的邮箱里。
2.没中奖的玩家不用灰心,我们会有参与奖给予各位玩家。
【温馨提示】
1.错过活动报名时间也不用伤心,以后还会有各种各样活动,到时候各位玩家大大踊跃报名参加,下次中奖名单里可能就有你喔~ヽ(゚︺゚)
2.本次活动最终解释权归《转生成为魔物》官方所有;
以下是官方群号:
转生成为魔物交流群①Q群号:474374387
转生成为魔物交流群②Q群号:870356457
转生成为魔物交流群③Q群号:869324350
转生成为魔物交流群④Q群号:926155287
转生成为魔物交流群⑤Q群号:970838917
转生成为魔物交流群⑥Q群号:540273886
转生成为魔物交流群⑦Q群号:870633146
转生成为魔物交流群⑧Q群号:707253836
转生成为魔物交流群⑨Q群号:807934472
转生成为魔物交流群⑩Q群号:435698061
转生成为魔物交流群12Q群号:640957495
转生成为魔物交流群13Q群号:855938000
转生成为魔物交流群14Q群号:640613828
转生成为魔物交流群15Q群号:808769845
转生成为魔物交流群16Q群号:784463314
转生成为魔物交流群17Q群号:917500537
转生成为魔物交流群18Q群号:925640634
转生成为魔物交流群19Q群号:694367482
转生成为魔物交流群20Q群号:626213626
ios转生成为魔物交流群①群号:1009692431
以下是官方微信公众号:果然狗工作室


