数据分析贴(八)——伤害居然是伪随机的!
2024/07/23951 浏览游戏攻略
为什么总是5%?
马不停蹄,我又出发了:
方法也很简单:把一个角色(就决定是你了,二师兄)扔到单体伤害超标的怪的塔(是你!火塔35)中,再把所有数据全部汇总即可。
在这个过程呢,我用一点解放双手的小科技录得了17分钟的视频,可惜的是后半段不知道为啥给我上了个炮灰:

封面有小科技,就不给大家看了
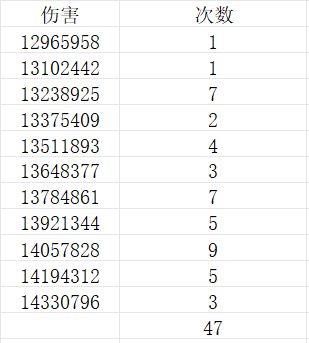
但也没事,在过程中,我发现了有些伤害值总是出现,于是我就把伤害值和相应出现的次数记录,顺便升了个序,列成了一个表,列表如下:

我直接将左边伤害进行加和再除以个数,得到一个数:13648376.82,竟然和13648377一模一样。
我又发现:14330796-13648377=682419,13648377-12965958=682419,竟然也一模一样。
我又可以得到:682419/13648377=0.05=5%,5%终于出现!
我已经悟道,又做出了这样一个表格:

结论:
伤害是伪随机的,应该是由一种公式算出一个值,再从-5%到5%中随机一个数作为最后的伤害。
这也解释龙人那边的5%。

