宠物育种·炼妖壶心得(真灵胚子篇)
修改于2025/11/125219 浏览攻略
由于我经常在论坛发合宠物失败的视频,不少人认为我是不懂瞎合,但我想说并不是,今天基于【进阶教程·超兽制作详解】攻略,分享一下合成的心得(仅限于真灵胚子),以四阶炼妖壶为例:
一、真灵胚子定义
真灵胚子是我自己定义的名词,从特点和用途来帮助大家理解
1.1 特点
真灵胚子是指拥有多真灵天赋的宠物,可按拥有真灵天赋数量定义为一真灵胚子,二真灵胚子,三真灵胚子...N真灵胚子

一真灵胚子

二真灵胚子

三真灵胚子

四真灵胚子

五真灵胚子

六真灵胚子
1.2 用途
真灵胚子的使用流程如下:诞生→暖玉床配种→炼妖壶融合→诞生(下一个循环)
由上流程,不难看出真灵胚子的主要用途有两个:
1.2.1 配种遗传天赋
可以将真灵天赋遗传下去,只要拥有一个可遗传的真灵天赋,投入时间和灵石就能一直合宠(使用暖玉床遗传天赋,并不比炼妖壶效果差,是能生出三真灵、四真灵乃至五真灵宠物,并且没有金钱成本,只有时间成本,详细攻略以后再说)
1.2.2 炼妖融合天赋
失去遗传天赋的真灵胚子,留下来唯一的用处则是投入炼妖壶内,给主胚胎宠物注入真灵天赋获得最终成品宠物或是与其余真灵胚子融合,获得更高级的真灵胚子。
二、真灵胚子培育
2.1 合宠误区
2.1.1 炼妖资质存在上限
有人认为,宠物合成存在资质上限的限制,因此在合宠物前会消除一些天赋,来保证真灵天赋顺利遗传。根据我合宠物的经验,以及炼妖概率分享,我个人认为这是无稽之谈。我先给结论,后续再进行分析。结论:合宠物成功概率与资质毫无关系,不存在资质上限的说法
2.1.2 炼妖资质不对等必炸
有人认为,炼妖必须要用资质对等的天赋进行融合,不然必然会炸。这句话是正确的,但在更细微的操作层面并不正确,后续会进行分析和解释,这里先给出结论。结论:炼制真灵胚子并不需要双方资质对等。
2.2 炼妖逻辑
炼妖壶继承逻辑,大家可以参考【进阶教程·超兽制作详解】这里不再解释,以四阶炼妖壶继承真灵天赋概率为45%,不继承概率为55%。
2.2.1 真灵预合等级(非重叠)
所谓真灵预合等级也是我定义的词汇,即为用于炼妖的两只宠物,总共拥有的不同真灵天赋数量。叫啥不重要,主要想表达一个观点。先说结论,然后解释。结论:合真灵胚子只与两只准备融合宠物拥有的真灵天赋总和有关,与其余因素无关。下面举例说明(以合四真灵胚子-真灵预合四级为例):
假设有a和b两只胚子,两只胚子拥有四个真灵天赋,并且每个天赋均不相同,将两者炼妖。
案例一:
a为四真灵胚子,资质为1600
b为普通宠物,资质为100
案例二:
a为三真灵胚子,资质为800
b为一真灵胚子,资质为200
案例三:
a为二真灵胚子,资质为300
b为二真灵胚子,资质为300
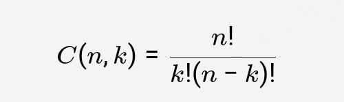
以上三个案例,可能合出普通胚子(无真灵天赋胚子)、一真灵胚子、二真灵胚子、三真灵胚子、四真灵胚子,并且概率相同,概率可用二项分布概率公式计算。假设n为真灵预合等级,k为炼妖后诞生的真灵等级。

二项分布概率公式

二项分布概率公式补充
这里让ai算了真灵预合等级一到六的概率。

真灵预合等级一至六分布概率
2.2.2 真灵预合等级(重叠)
上文2.2.1中的真灵天赋并没有重叠,但实际操作中经常出现真灵天赋重叠的现象,此时的真灵天赋继承概率将会不同。以四阶炼妖壶为例,其中重叠天赋的继承概率将有原来的P=45%提升为P=1-0.55*0.55=0.6975=69.75%。总结:重叠天赋可提升该项天赋继承概率。
2.3 错误认知解释
2.3.1 天赋递减与天赋伪上限现象
之前提到天赋存在上限的错误认知,其本质是天赋递减效应的体现。
2.3.1.1 四阶炼妖壶的递减效应
炼妖中,粉色以下的天赋基本上都是全继承的,可假设这部分占的资质为A,那么决定宠物资质的取决于双方宠物的真灵天赋、粉色天赋。当真灵天赋和粉色天赋足够多时,宠物资质将出现更加明显的天赋递减效应(四阶炼妖壶),如真灵预合等级为六级的炼妖中,在不考虑粉色天赋的情况下,有约45%概率天资降低,有约30%概率天资为二者折中,有约25%概率天资提升。如果将粉色天赋递减考虑上,哪宠物天资递减的现象更明显。必须要不断注入和补充丢失的血脉,否则宠物只会越合越差,提醒大家:合宠物不要上头,一定要及时补充足够新鲜血脉再合。
此时,限制宠物天赋的主要原因在于:合的次数太多。当注入炼妖壶中的新天赋种子不足,而宠物资质过高,天资则会陷入瓶颈(伪天赋上限),此时想要突破就得需要以下几个东西之一:1.足够幸运。2.足够多的新真灵天赋、粉天赋。3.升级炼妖壶。
2.3.1.2 五阶炼妖壶的折中效应
但天赋递减效应仅针对四阶炼妖壶,若五阶炼妖壶真灵继承概率为50%,则是出现折中效应。
此时,限制宠物天赋的主要因素在于:新天赋注入数量不足。
2.3.1.3 六阶炼妖壶的递增效应
若六阶炼妖壶真灵继承概率为55%,则会出现天赋递增效应,即合得越多,最终宠物资质将缓慢稳步上升,直至满天赋。
此时,限制宠物天赋的主要因素在于:合的次数太少,新天赋注入数量不足。
2.3.2 天赋重叠与对等资质
有不少人认为,炼妖宠物必须资质对等,否则必炸,这句话是对的,但是有限制的。这里测试一下大家,有两组案例,大家认为谁会炸,谁会合成功?
案例一:
如有两只宠物A和B,A的资质为164,B的资质为691。
案例二:
如有两只宠物A和B,A的资质为741,B的资质为649。
如果你认为案例一成功,那老孔我要给你一个大比兜。如果你认为是第二个,哪老孔我要给你两个大比兜,说明你认为只要资质不匹配就该炸。正确答案是:和资质无关,和重叠天赋数量与概率有关。重叠天赋的继承概率会更高,因此不容易炸,炸不炸是概率问题,和资质无关!下面两个视频为案例一和案例二的真实记录。

宠物培育 真灵胚子篇结束
PS:合宠物这么久了,炼妖壶有几个最核心的技巧,我发现论坛重来没有人公开过,大家都爱藏着掖着么,那我也藏着掖着,你们不说我也不说![[表情_微笑]](https://img-tc.tapimg.com/market/images/0f170d4b1ecf80c267e5a44b5992a199.png)
![[表情_微笑]](https://img-tc.tapimg.com/market/images/0f170d4b1ecf80c267e5a44b5992a199.png)
。
![[表情_微笑]](https://img-tc.tapimg.com/market/images/0f170d4b1ecf80c267e5a44b5992a199.png)
![[表情_微笑]](https://img-tc.tapimg.com/market/images/0f170d4b1ecf80c267e5a44b5992a199.png)
。最后,游戏是腊鸡游戏,早退早好。

