从装备主副属性开始的冒宝王数值计算——闪避刺从0开始的冒宝路
修改于2025/12/04693 浏览综合
20251130更新:更新了一些没用的人物属性基本计算
20251204更新:统计了遗物天神和辅助对闪避刺攻击及闪避属性的加成,在不考虑赛季模式加成的情况下,讨论150难属性缺口。
注意:本贴仅用于记录自己对闪避刺为核心的阵容搭配构建思路,并非传统意义上的攻略。如果有建议和想法,欢迎沟通讨论


挂机老咸鱼了,到头来发现自己还是萌新说是,本来想拯救下闪避刺的,但是首先装备主副属性的选择就把我困住了,于是有了这个帖子,有兴趣的话和我了解一下吧,如果有错误欢迎大佬指正。#- 装备攻击属性数值介绍:
命中(6~10%--12%*--13%**)
暴击(6~10%--12%*--13%**)
暴击伤害(12~20%--24%*--26%**)
所有伤害(6~10%--12%*--13%**)
造成伤害(24%~40%--48%*--52%**)
小完美*为基础值上限的1.2倍,大完美**为基础值上限的1.3倍
- 伤害的基本公式为:
(攻击力-防御力)×武器倍率×技能倍率×(1+武器技能强度+戒指技能强度)×(1+能量增伤倍率)×力量或敏捷或智力/100×(1+相应伤害-相应抗性,如劈砍)×伤害类型和护甲类型×(暴击伤害-韧性)×(1+技能伤害+造成伤害+落单伤害等等)×(1+独立乘区X)×(1+独立乘区X)…
- 其中和装备主副属性相关的部分有:
(1+属性伤害+所有伤害-相应抗性)保底30%
(暴击伤害-韧性)暴击生效,保底150%
(1+技能伤害+造成伤害+落单伤害等等)保底50%
人物的真实暴击几率=max(0,暴击率-敌人韧性)
- 综合暴击倍率的计算
假设:非暴击倍率为1倍 暴击倍率为M倍 人物真实暴击几率为R
则有平均暴击倍率(暴击倍率的期望)
E[K]=(1-R)*1+R*M=1+R(M-1)
- 人物伤害期望计算
规定:
A:命中(面板命中)
B:暴击(面板暴击)
C:暴击伤害(面板暴伤)
D:所有伤害(面板所有伤害)
E:其他伤害(面板技能伤害等其他伤害的总合)
敌人次属性 = F(闪避 = 韧性 = 所有抗性 = F)
命中率H=max(0.3,A-F)
暴击率R=max(0,B-F)
暴击伤害倍率M=max(1.5,C-F)
所有伤害倍率G=max(0.3,1+D-F)
技能伤害倍率S=E+1
则有平均伤害公式:
DMG=H*[1+R(M-1)]*G*S
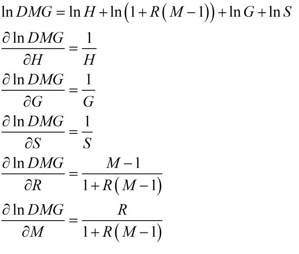
对对数函数取微分的时候可以看出:
d[ln(x)]=(dx)/x,也就是说对数函数的导数其实就是相对原先x的变化比例(就是x增加1%等于总伤害增加?%),和真实值的偏差是泰勒展开的二阶微分项
所以对DMG取对数求偏微分,就是各个属性的边际效益
对伤害取对数,然后取偏微分,有

- 使用公式

计算结果△lnDMG>0 ,就代表可以替换
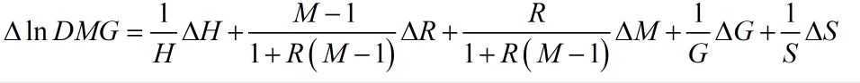
- 那暴击率和暴击伤害哪个更值钱?
比较两个的偏导数,由于分母相同,就比较M-1和R的大小关系,考虑到△M和△R的取值范围问题,计算△lnDMG∝(M-1)△R+R△M
实际比较的话 是比较(M-1)△R和R△M 的大小 如果(M-1)△R>R△M,则暴击更值钱
比如取△R和△M中值0.08和0.18带入上式,有R<0.444(M-1),也就是R低于0.444(M-1)时候,选暴击比选暴伤更强。


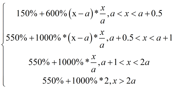
- 闪避刺妹妹技能倍率做主C的技能倍率计算
幻影攻击:
基础伤害系数150% 额外伤害系数:200%*max(100,(我方闪避率x-目标命中率a))
额外伤害系数:200%*max(100%,(x-a))
蓝词条 对精英及魔王额外系数+200%
紫词条:额外加成技能系数200%;(x-a)≥50%技能系数+400%
金词条:(x-a)≥50% 额外系数+400%;额外伤害赔率调整,调整系数max(2,x/a),
拿满词条时,幻影攻击系数:

计算可知150难13战,敌方命中率a=1.81得到技能系数随差值的曲线如下

当带闪避套时,幻影攻击的综合系数曲线为:

- 以闪避刺妹妹为例的人物属性计算及属性补充
首先明确一下目前的目标:
以闪避刺为主C或核心构筑能打过150精英模式13场战斗的阵容(咸鱼只有这点追求了)
150难敌方属性计算

基础次属性75%+8.9%*(战斗场次-1)
第13场0魔王局次属性为75+(8.9%*12)=181.8%
这个游戏的所有属性基本都是向下取整int(),因此魔王次属性均为181%
闪避刺基本人物属性计算
闪避刺基本属性计算
四维计算:
起义军势力基础四维:耐力:50 ,力量:50,敏捷:55,智力:45
刺客职业主属性为敏捷,耐力和人物主属性有额外50点加成,人物每等级基础属性提升5%
每星级额外属性提升50%X,五阶满级装备一共提供1500耐力及主属性,其他百分比倍率提升途径(特质,圣物等)设共计为X
耐力及主属性:[(1+5%*60)*基础四维*(1+50%*5)+50加成+1500装备](1+X)
力量和智力:[(1+5%*60)*基础四维*(1+50%*5)+1500装备](1+X)
经计算 闪避刺四维:耐力2857 力量609 敏捷2807 智力661 核实无误
四维与其他基础属性关系如图所示:

基础命中=int(力量/100)
闪避刺:6%
基础暴击=int(敏捷/100)+20%基础暴击
闪避刺:48%
基础爆伤=int(力量/100)+int(敏捷/100)+int(智力/100)+150%基础爆伤
闪避刺:190%
基础所伤=int(智力/100)
闪避刺:6%
基础闪避=int(敏捷/100)
闪避刺:28%
人物特质:
舞者 命中+6% ;闪避+6%
精准 命中+12%
灵巧步伐:闪避+12%
专属特质命座:
5命:命中+30%;暴击+30%;暴击伤害+30%;所伤+30%;闪避+30%
势力特质:
起义军:闪避+5% 韧性+5%
天赋:
命中+4%;暴击+8%;闪避+8%
圣物升级:
命中+10%;暴击+10%;闪避+10%;所伤+15%
转职
魅影怪客 :命中+5%;闪避率+15%
总计人物最终属性:
命中:73%+装备47% =120%
暴击:96%+装备18.8=114.8%
爆伤: 220%
所伤:51%+46.3%装备=97.3%
闪避:114%+45.4装备+25%闪避套装=184.4%
150难挑战属性缺口(装备命暴所按50%计算 后续调整)
从刺客属性要求来看,由于影舞被动及闪避刺特质的存在(命中转化能量,暴击额外回能,能量增加暴击率和闪避率,闪避率增加闪避刺的命中、暴击及伤害)命中和暴击的回能体系对于整体伤害的提升是两个正反馈回路,这俩必须优先拉满
我方命中缺口:敌方闪避:181%
30%保底闪避率,我方命中最低151%
命中缺口=151%-73%人物基础-50%装备-20%元素套装减闪避=8%
根据后续缺口补偿来减少装备命中词条数。
我方暴击缺口:敌方韧性:181%
暴击缺口=181%+理想差额100%-96%人物基础-50%装备-20%元素套减韧性=115%
同样,闪避反击和闪避差值的增伤减伤机制,让闪避对于闪避刺来说需求也远大于其他属性
我方闪避缺口:
敌方命中:181%
幻影攻击额外伤害系数需要100%的差值
吃满影舞者套装的增伤减伤需要120%的差值
吃满幻影攻击的额外伤害倍率需要181%的差值
按基础100%的理想差值计算
闪避缺口=181%敌方命中+100%理想差额-114%人物基础-50%装备-25%影舞者套装-30%影子舞者开局增加-15%坦克光环-姿态30%=52%
暴击爆伤造伤的词条数目选择(待补充)
一些待解答疑问:
减攻效果对无法阻挡单位,无控制穿透时是否有效(先假设无效)
元素套减少闪避对无法阻挡单位?(先假设有效)
属性缺口补偿的可选方案
- 辅助
- 天神
- 遗物
这三点的选择 从确定性来看,辅助>天神>遗物
在辅助的选择上,
首先排除鸟牧这个让别人打不到自己的玩意,鱼牧28%的闪避结合上图可知,在闪避率281%以下时,对技能倍率增伤约相对1500%增加到2000%的系数,以及闪避套差值一半的14%的增伤,由前图可知,假设增加后自身闪避率为300%,则鱼牧闪避率带来的实际增伤为20%X。
从造成伤害的增伤效果来看,假设局内3天神+3紫色遗物,则有140%被动自带增伤,冰霜100%增伤,240%天神增伤 150%装备增伤 180%遗物增伤,赛季词条150%增伤 大致以1000%系数为基准,钱牧32.5%X 帝牧24.5%X 丛林牧(5命二特质)33.6%X 鱼牧 44%X
但是由于本人平民玩家,只有钱牧满命,别的牧0命,丛林牧没二特质,且鱼牧本赛季词条傀儡无效词条,因此对于本人本赛季只能考虑钱牧。
辅助选择:钱牧,+25%命中 70%暴击 325%造伤 15%的牧师光环命暴所
此时命中缺口-32% 暴击缺口30%

- 能量
- 技能蓝色天赋
- 项链
- 套装及圣物

