[数值向][硬核]一剑千里破竹势!浅析破招值和破招率的关系
精华修改于2020/11/281.3 万浏览攻略
大家好,本篇文章主要探究破招值和破招率的值率转换公式,并由公式分析得出一些结论。

这可能是最后一篇使用科普框架的文章。后续的其他值率转换公式,我会统一到一个帖子进行整合分析。
最终的目的是希望能构造一个属于玩家的数值计算系统。让大家在进行武学搭配的时候,既能定性分析也能定量分析,快乐培养属于自己的侠客!
有什么不足之处,还请各位大佬多多给建议。我会及时进行查漏补缺的,感谢!
![[嗒啦啦2_吃瓜]](https://img-tc.tapimg.com/market/images/6eb1d083dff1c09692102cb5a98727f3.gif)
按惯例,先放结果:
破招值x-破招率y转换公式:
y = (-52400) / (x + 1350) +30.5;
理论误差应不超过1%。

结论:
1. 前期值率转换比较高,破招值收益明显;后期(23%)以后值率比达1000以上,基本算是刮痧。
2. 理论由破招值带来的破招率上限是30% 。
全阶段不建议叠破招值。
3. 直接 加成破招率的装备/天赋价值增高。
如果对数值研究不感兴趣的老爷们,看到这里就可以啦,阿里嘎多!
![[嗒啦啦2_吃瓜]](https://img-tc.tapimg.com/market/images/6eb1d083dff1c09692102cb5a98727f3.gif)
下面是本文的正文部分:
本文的思维导图如下:重点是公式的结论和推论。阅读需要3-5分钟。

一、 破招值和破招率到底是什么?
两者都是针对“破招”的概念。要弄清楚它们是什么,先得解释破招是什么。
我们来看一下燕大侠(官方)给出的解释:

感谢燕大侠科普。即触发“破招”能够带来减伤。看起来是一个防御向的数值。
破招率直接影响到是否发动“破招”技能,破招值影响破招率……等等,燕大侠你说啥?
减伤90%?这和我测试的体感不一样啊!我读的书少你可别骗我(懵)。赶紧去测一下:

实验准备:取连击两次伤害一样做测试,一次破招一次不破招对比。
实验结果如下:破招减伤一次54.15%,一次43.69%,初步认为是 减伤50%。


PS:还有1次测试减伤20%(估计有其他减益,如果有错请指出)
燕飞鹏啊,你这糟老头子坏得很!
还好我技高一筹!
1. 言归正传,怎么堆破招值呢?
在介绍怎么堆破招值之前,得引入新的概念: X级属性的概念。
我的侠客中有不同的属性,我把它们分成了一级,二级和三级属性。
它们在数值计算中担任着不一样的角色。属性架构的思维导图如下:

名词解释:
1. 一级属性:最接近玩家层面的属性,大量方式直接获取。玩家可以通过天赋点,武学,装备等途径对属性面板进行直接增益。
2. 二级属性:连接一级属性和三级属性的桥梁,由一级属性进行公式计算转换获取。是玩家的增强途径有天赋,武学等。部分二级属性参与最终计算。
3. 三级属性:最接近程序计算层面的属性。直接参与数值计算公式的逻辑计算。主要由二级属性进行数值转换得到。增强途径有天赋,武学等。
PS:其实也可以只分一级和二级,区别在于是否参与最终伤害计算公式的运算。各位大虾见仁见智哈。
其中,一级属性对二级属性的定性影响为:

定量影响:可参考婠姐的攻略
小小婠:萌新向攻略(二、数值介绍) - 来自小小婠 | TapTap 我的侠客社区
https://www.taptap.cn/topic/15648077

下面介绍破招值的获取方式。
(1) 破招值直接挂钩的是:一级属性 精力。其中,破招值和精力的比值是1:1。
取一只女主,查看一级属性精力:是234。

再查看详细面板的破招值是234……等等,怎么是254? 这和前两天测的不一样啊! 我装备也没有加成啊?


我知道了,还有一个数值影响,它就是——
(2) 羁绊属性影响。新出的羁绊系统增加的数值会永久作用于所有人。
我就是点了风冲的羁绊,除风冲外其他人都 +20破招值,而风冲自己+1%破招率。

破案啦。那么,继续整理吧。

(3) 称号属性影响。称号附加的数值也会永久作用于所有人。

这里认真检查了一遍,嗯。没有破招值,问题不大。
(4)装备的影响
同为二级属性,理论上跟命中值,闪避值一样,破招值也是可以通过装备加成的。
举个例子……例子……什么?我一个加破招值的装备都没有, 感觉事情不太对啊!

于是我决定去从仓库下手。
仓库我一共积累了17个屏幕的页面的装备,每个页面30个,一共500多个装备,按每个装备重复5次也有100多个分类。
总不能一个破招值也没有吧?
图片上传中…

然后……找了半天,加成破招率的装备找到了。
分别是 风式酒葫芦,诸子百家,琅嬛手札,金铃玉珠串(感谢@萧风大佬补充)。都能刷出破招率词汇。

但是加成破招值的…… 一个也没有。
不过打捞过程中还是遇到很多好玩的装备的。比如棍系武器独带的连招威力词条,玉箫独带的多段武学威力加成等等(当然也只是不完全梳理,有错漏的地方请大佬们告知哈)。
看得出来制作组还是很用心的,只是:
你不写个wiki,让我这种测试党很难做啊喂!猛虎狂哭.jpg

结论:暂无找到加成破招值的装备。(可能很稀有也可能没有)
那称号会不会也没有?我认为官方后续是有可能出的。本攻略在11.26更新后适用,后续可能就得靠大家去测试了。
二、 破招值率转换公式(部分重复)
结合上一篇攻略的经验,这次我会把复杂无趣的推导过程去掉。
对采集数据方式,推导感兴趣的可以看我上一篇攻略(推荐看完这篇以后再去看):
实验准备:
1. 由于系统显示破招率只有整数部分,这会给测试带来极大的阻碍。包括取值和计算精度等等。
我选择的折中方案是:记录下破招率突变时,破招值的取值,因为这时候的值最接近整数。
比如破招值429的时候破招率是0%。

到了430的时候破招率突变成了1%。

这可能意味着430对应的是1.01,也可能对应1.49。
但无论怎样,这已经是玩家测试能得到的最精确的值。
PS:我默认游戏是用向下取整的方式进行显示。当然也有可能是向上取整,或者四舍五入显示整数值。
但无论是哪种取值,最后相差的也只是一个偏移项,问题不大。
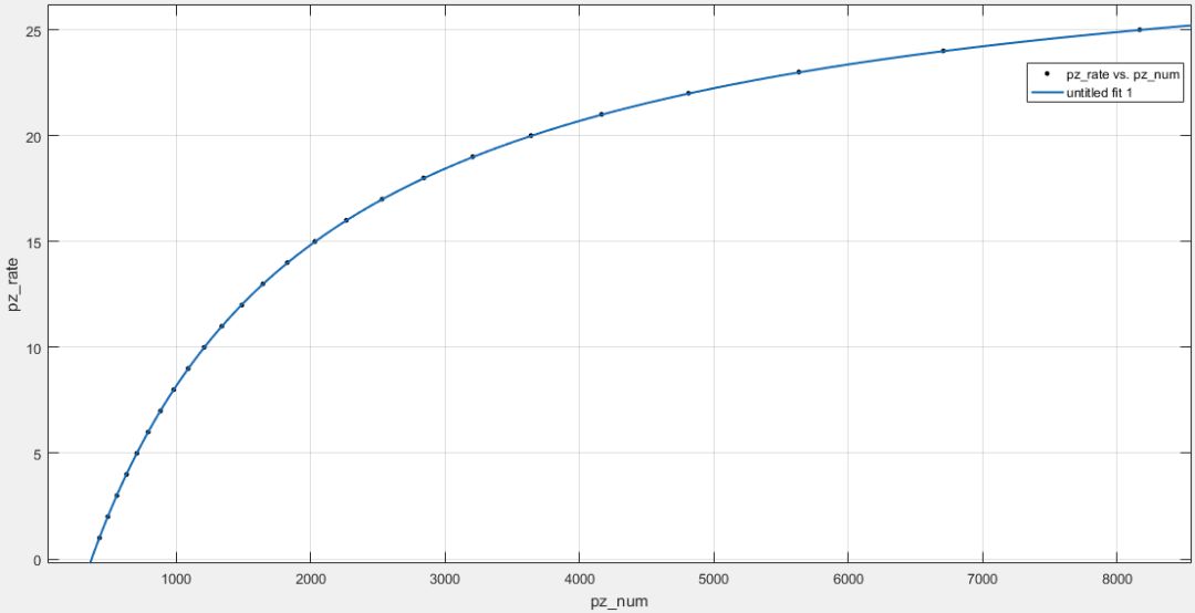
我测了25个点对,分别对应1-25的破招率突变时,破招值的取值。
由于测试过程中,我用的角色有些角色卡有属性加成。因此在取突变值时,可能存在破招值±1的误差。绘制散点图如下:

惯例,这里我们就可以定性分析了。
结论:
a. 破招值前期加成破招率高,后期刮痧。
b. 加成的破招率到了23%以后,累进需要的破招值就到了1000以上。非常不值得加。由于50级角色的练度,精力基本都能上6K,当前版本大佬更是能到1.4W。这个阶段基本破招值堆破招率加成不大,所以不建议为了叠破招率去点精力,增加破招值的方式去叠加。
推论:风冲的两个天赋,超凡脱俗(破招值+500)和武学精通(破招值+300)基本是纯占格子,如果培养风冲建议刷掉。
超凡脱俗(破招值+500),不行;
五岳精要(破招率+5%),彳亍!

2. 进行曲线拟合,得到的曲线图如下:

公式:y = (-52400) / (x + 1350) + 30.5
公式结论:
a. 再怎么堆精力去加破招值,由此途径带来的破招率顶天也超不过30.5%。
(五岳精要,牛逼!)
推论:其实30.5%是非常不美观的数字,不符合数值公式的经验法则。因此我更倾向于系统界面的显示或许不是舍去制,而是四舍五入制,这样刚好上限就是30%。
说人话:破招率显示从0%突变到1%时,它应该不是1%,而是0.5%哒!
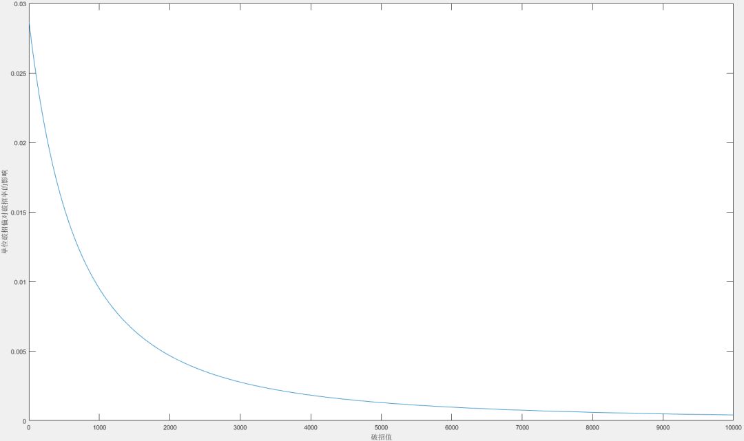
b. 公式求导可得:

绘制图像:

结论:
c. 由图像可知破招值在0-4000时对破招率加成明显,5000-7000作用一般,8000以后基本刮痧。
d. 如果要玩破招流,与其死嗑破招值,不如从其他方面搞加成。(风冲:还是在下!)
比如:
1. 羁绊的加成。风冲的羁绊有高贵的破招率加成(只适合他本人)

推论:同理可知其他情缘角色也有对应的加成。比如纹银加暴击率,杨雪峰加反击率等。
2. 还是风冲的天赋。+7的风冲情缘天赋能让破招率+20%。(来源:Bwiki)
3. 装备的加成。此处不重复赘述。
三、 关于破招的边缘讨论
1. 破招相关的武学:这时候得继续请出我们的新人朋友燕大侠了。
小燕啊,饭可以乱吃,话不能乱说,将来报道出了问题,你可是要负责的(狗头)

既然小燕这样说,我们就姑且相信他一次吧!(偷偷打开武学查看)
目前字面描述上能搭配破招的武学有:
1. 三仙夺命连环剑:10级词条破招后50%释放本武学,有反击那味了。

2. 九式求败剑诀:10级词条破招后50%释放本武学,有破一切万法那味了。

3. 连环追心剑法:30级词条破招后释放本武学,有……有点猛啊。

4. 神性鬼步:10级词条使用技能后破招率提升20%。有……感觉有搞头!

冷静分析:我有一个大胆的想法,我冲哥自带一万个破招天赋,左手风氏紫葫芦,右手带三本剑法,开场吃一个神行鬼步,岂不是见招拆招,招招夺命?(嘿嘿嘿……构造武学搭配中)
等待破招效果中……等等, 怎么一次都不触发,这跟想象的不一样啊!


啊……这次好像我自己搞不定了呢。
PS:目前测试的时候出现了BUG,即我用风冲学九剑(27级)+三仙剑(30级)+连环剑(30级)时,发生了蜜汁破招后不释放技能的bug。先推测的原因可能有两个方面:
1)最多存在两个破招后释放的词条,学了三个出问题了。
2)我卡了情缘天赋武学堆到了25/20(感觉没啥关系但还是贴一下吧)
BUG目前已经上报,坐等反馈结果,但目前是玩不了破招流了,大师兄倒了!(危)
——我是分割线——
11.28更新:LZ自己测,定位到问题了。 破招的武学只有一个生效,而且是最早学习的一个。
也就是后面学的都会失效。举个例子,风冲自带一个三仙剑,那他学了九剑和连环追心,也只会触发三仙剑的破招判定。 这个时候是50%破招,后面100%的连环追心剑法完全没用。
玩家层面的解决办法也很简单:把风冲的三仙剑洗了,再学回来, 改变武学的顺序。这个时候九剑就变成了优先触发,其他两个失效。也就是换一下学到的顺序。
这个怎么说呢,不好评价。要么说是bug,要么说是机制不透明对玩家带来的伤害。这也是为什么我做这类攻略的原因之一。玩家有一个很好的想法,做了大量的分析,练级,培养队友,然后发现:
文案说的和自己想的不一致。理想中的我:很nb;忙了一周之后:发现自己是***
这是有苦说不出的情况,因为看起来它没错你也没错,但是前面的工作和努力全都白费了。
测试的截图太多了,只放部分出来吧。首先之前是只触发三仙剑的破招(文案显示反击其实是破招释放)
1. 洗掉三仙剑并重新学到10级(得到破招后施放词条,进行对照)

2. 测试对战:破招后九剑正常施放(整个过程我没进行过主动攻击)

此时破招优先级:九剑 > 连环剑 > 三仙剑;
3. 对九剑重复上述洗掉+学到10级的过程,重复测试。
理论破招优先级:连环剑 > 三仙剑 > 九剑
测试结果:

得证。PS:这个结论在11.28进行测试,后续有可能进行改动,请理性评估。如果觉得测试过程有问题,或者有不同的见解,请不吝赐教,感谢!
结论:想玩破招流的话,只能决定用一个技能。而且这个技能必须得比其他技能先学。
推论:要玩风冲的小伙伴记得把三仙剑洗了再学。不然冲哥会变成无情的三仙剑机器Orz。
——我还是分割线——
2. 破招相关的天赋:

五岳剑宗衰败的原因找到了,全学了破招然后出了BUG(逃)。
其实单学连环追心剑的反击还是可以出来的,这点@萧风大佬进行了实测,所以肯定有解决的办法,大佬们不用担心哈。
3. 其他关于XX值和XX率的不成熟的推论:
目前测了一点, 临时结论是:
满级+神装以后所有值都没太大必要叠,衰减太厉害了。多叠点一级属性更好。
同样的,宠物的XX值加成收益也会严重衰减。不推荐花资源堆。(感谢评论区大佬的补充!)
目前比较可靠的,适用这个结论的值有:暴击值,命中值,闪避值等等。
关于这个问题,感谢@萧风大佬的部分实验。他的视频里面有部分定性分析的干货(大概2分钟开始,感兴趣的小伙伴也可以去围观哈)
【我的侠客】一拳两百万伤害!——烈阳武当拳攻略【附决斗张少爷视频】_哔哩哔哩 (゜-゜)つロ 干杯~-bilibili
https://www.bilibili.com/video/BV1WA411x7h9?share_medium=android&share_plat=android&share_source=QQ&share_tag=s_i×tamp=1606205871&unique_k=0ieObP

【题外话:没错测试就是这么苦逼】
作为一个没参加内测+没测试资源的玩家,我做个人向测试,单纯出于对武侠游戏的喜爱。
希望能够把一些底层逻辑计算摸透,给更有经验的大佬抛砖引玉,设计更好的武学搭配。
文章写了很多一波三折的场景,包括踩各种的坑的情景,都是我在测试过程中的真实感受。并不是为了突出工作量,只是跟大家分享一下一些有趣的事情,徒增笑耳。
但这确实也花费了我很大的精力和时间,影响了后面的排期。
如无意外,后面会出一个值率转换公式的大集合,暴击,连击,反击,你想要的全都测一遍!然后再摸一下伤害计算公式,我就可以提桶跑路了(逃)。
由于本文作者水平有限,撰写较仓促,加上数据众多,数值型攻略更容易出现错漏的问题。而且攻略具有时效性。如果有错漏之处,请不咎指出,感谢!
感谢@飘飘凌云,@横剑聆风雨,@萧风,@小小婠,@雪花糕,@黯衣 各位大佬的指导和帮助,非常感谢!
![[嗒啦啦2_谢谢]](https://img-tc.tapimg.com/market/images/61999387776037cfa13ee118987a1b8a.gif)
如果你对游戏数值计算机制感兴趣,那这篇长文不容错过:
如果你对 六脉感兴趣,可以看下我的另外几篇攻略:
如果本文对你 有帮助,请为我点个赞吧~码字不易,求点动力,拜托啦阿里嘎多!
![[嗒啦啦2_谢谢]](https://img-tc.tapimg.com/market/images/61999387776037cfa13ee118987a1b8a.gif)
我是微信2区行云流水,281072319,偏好数值和武功机制方面的探讨。欢迎多多交流~
天机阁出品


