【问卷调查】邂逅公测半周年 邀请冒险者做个小调研(已开奖)
感谢各位冒险者的积极参与!我们会更加努力为冒险者呈现出更好的活动内容!
![[嗒啦啦4_抱住]](https://img.tapimg.com/market/images/b20ce7752ccda6d1a19a716bf3990252.gif)
![[嗒啦啦4_抱住]](https://img.tapimg.com/market/images/b20ce7752ccda6d1a19a716bf3990252.gif)
![[嗒啦啦4_抱住]](https://img.tapimg.com/market/images/b20ce7752ccda6d1a19a716bf3990252.gif)
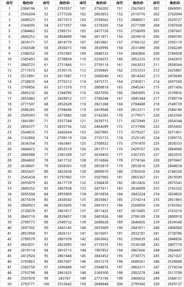
以下是本次参与抽奖的名单:(以登记先后时间为顺序排列)
下面公布中奖名单:
【抽奖结果公示】
*抽选奖励将在3个工作日内发放,请中奖冒险者在游戏内邮箱中查收。
*参与奖已全部发放,如对奖励或抽奖名单有疑问,可通过官方QQ群联系QQ客服艾曼拉(万事屋可一键加群)。
————————————————————
由于冒险者的喜爱与支持,邂逅公测也迎来了半周年~
借此机会,艾曼拉做了一份简单的问卷,
希望能了解到冒险者们对邂逅各种活动的感想与反馈!
题目不多,希望冒险者们能够积极参与呀~
活动名称:邂逅公测半周年 邀请冒险者做个小调研
活动时间:2022年4月11日~2022年4月18日23:59
参与方式:点击下方链接或扫描二维码进行问卷填写,完成问卷调查即为参与成功!
#友情提示#最后一题需要写游戏内的数字id哦~
活动奖励:
#奖励一#参与奖
获奖人数:有效参与问卷调查的所有冒险者
奖励内容:钻石*888,怪兽祭扫荡券*8
发放方式:活动结束后三个工作日内统一发放奖励。
#奖励二#问卷抽奖
奖励内容:金色换装券*100
抽奖范围:抽取10位幸运冒险者赠送
报名方式:凡参与问卷调查的玩家将角色ID与参与问卷的截图发送给QQ客服摩根勒菲或艾曼拉,即可报名参与。
*可以直接在万事屋一键加群私聊两位客服哦~并且只要私聊其中一位就行哦!
发放方式:活动结束后三个工作日内抽选发放。
#奖励三#全服福利(已发放!)
发奖要求:当问卷调查的参与人数到达1000名时,发放全服福利一份。
奖励内容:敬请期待~
发放方式:参与人数到达1000后,艾曼拉就会通知并发放哒!
欢迎大家踊跃参与问卷填写~

