首页
排行榜
发现
动态
云游戏
PC 游戏
论坛
创作者中心
开发者中心
聚光灯 GameJam
发布
下载手机 APP
扫码下载
Android APK 下载
版本:v
App Store 下载
版本:v
下载 PC 版
Windows 版下载
版本:v
下载 TapTap
TapTap 手机 APP
扫码下载手机App
Android APK 下载
版本:v
App Store 下载
版本:v
TapTap PC 版
Windows 客户端下载
版本:v
热门攻略
加载中
古代进阶攻略 —— 世界Boss&双免Boss篇
前言 相较于血战、位面,取得较高的排名可以获得大量实质性的钻石、血精奖励,在世界Boss方面取得高排名获得的奖励可以说是微乎其微,对于一些玩家而言就是毫无意义的添头,然而,血战需要高转数,位面需要至少成型三队,对于如今的广大cs号玩家来说,身在高转众多的老区,位面也在高手云集的一区,平时血战要被高转老登堵门,位面也只能每天三把混个100血精,获得的奖励也并不算多,因此,相比之下,世界Boss带来
写给开新服的萌新们的参考攻略,3图、4图,大佬们请前面右转
渠道服新区 38区 末日审判 名字随机起的,往后再改吧,零氪。 此攻略仅供萌新开荒参考, 由于抽卡出的SS各有不同, 首充党体验应该会好点。 第二天到第四天,阵容里的SS有 龙后、大冰(寒冰风暴)、大树、 女主(索菲亚)、大魔导师、复国者阿姆。 如有相同的角色参考价值高些, 若有猪和醋坛子推图更好。 我没抽到猪和醋坛子 【开新服原公告:新区天启-末日审判(安卓IOS混服)将于11月27日(周六)上
亡灵队保姆级攻略(更新药剂和神器的属性)
最近看到好多人玩不明白亡灵,每天都在世界问,世界的答案依旧是一群哈迪斯和老艾德,疫情期间又没事做,所以我就无聊写一个帖子,给新人指指路吧,切记本攻略说的是0转的,高转的就别来说什么亚瑟狮子一起上了。 首先亡灵队伍开局抽4个亡灵,亚瑟,白羽,伊万,风语者其他亡灵都可以不要。 很多人都在说伊万0转没用,其实伊万0转最大的用处就一个,因为他是个亡灵肉,可以让亚瑟多砍一刀,有风语不可企及的身板,而且在对面
萌新一转的一点小经验,大佬勿进
19年10月退坑,22年1月回坑的(感谢大头我的号还在) 回来时134级,邮件领了不少东西 一转的攻略都不太详细,随便写点经验,希望对同样是萌新的有点帮助。 目前一转第六天,102级,20-99(还在推),无尽1944 首先阵容,最常用的亚瑟,女皇,白羽,风语,色欲 备用第二阵营狮子,天使,亚瑟,女皇,风语 补位元素 装备88抽近卫(护肩,副手) 98抽命运(护肩,鞋子,项链,戒指) 比蒙(剑,头
00:21
3.17-3.28,十一天毕业一转,心得分享!
一、前言: 1、本篇文章中的各种思路来自游戏中各位大佬的意见,并非原创。 2、配队没有最强的,只有最适合自己的,本篇文章仅供借鉴。 3、楼主为了升级使用大量钻石加速,请勿轻易模仿。 4、本篇攻略已过时,仅做思路参考,强势阵容请参考怜悯。(2025.2.10修改) 二、主要推图队 队伍组成:海拉元素色欲亚瑟威廉主角(至高+冰雪) 过图思路:海拉元素DOT(持续伤害),一般在5-6回合能够烧死对方后排
(已加精)新区亡灵队日记(47天毕业26-200图123级榜2)
### 还是没忍住去新区~翼人浮岛体验一下冲榜,前期亡灵肯定不如狮子,预计13图三猪开始追平超(除血精买3生灵),108级亚瑟双百后开始反超,128级左右毕业。24图开始等级是硬伤很多以前没卡的图各种卡,如果重新来一遍自建号我建议在抽齐阵容后钻石都留着加速每天加速12-14速。。### 抽sss顺序与神器顺序,亚瑟一万女皇白羽男主天使,最后呢喃,风语看血精备选出(风语跟一万冲突但是部分图亚瑟秒不掉
为什么说这个游戏非土豪别氪金?看完你就不想氪了
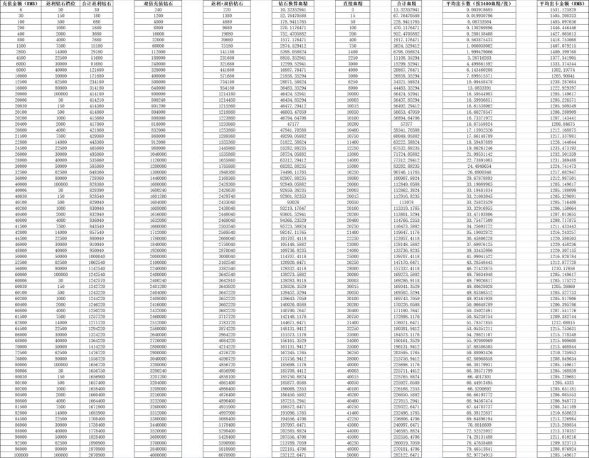
首先跳身份,本人入坑半年多,新区自建号小氪2万不到,在论坛看了无数攻略弯路走得不多,但是和会玩(欧)的三卡甚至单永久卡的差别并没有特别大,因此特意算了一下氪金的性价比,以下为具体数据: 以上数据统计到氪金10万梯度(参考百万大氪镇佬的返利数据),相信绝大多数人都到不了这个梯度,所有的钻石换算成血精,并按照大数定律【3400血精/个SSS】作为平均数据(参考这位大佬的帖子) 最终得出:全部按照双倍充
浅析现版本位面顶级阵容——兽族亡灵法队
4月位面战今天已经结束,本次位面依然激烈,在小螃蟹,夜老,k神,陈老大,农皇等一众大佬的帮助下,我成功通过抄作业让肥总登顶天启第一,而肥总正是用的兽亡法阵容话不多说上图 (附赠位面战单日打分最高记录91298) 可以看到这套阵容每只队伍都有核心的四张卡 兽队:狂狮狐狸阿波罗库克 法队:鸟人莎莎元素暴食 亡灵:正义风雨亚瑟伊万 而其他的六张卡则是常驻工具人: 女皇狼人加速; 色欲圣行不必多说常驻bt
写给萌新[此帖内容未经允许,转载时必须表明出处]--菩提本无树
声明:此帖仅供萌新参考,爺新勿入。 〖以下内容为正文〗 当前零转推图主流:国家队→亡国队。 当前版本の亡国队:国家队➕亚瑟。 零转sss(推图向)八大柱:狮子,天使,女皇,悠悠,风语,元素,色欲,亚瑟。 零转装备: 百级前,坦克战士四光套,法师辅助祝福套。其余部件配散件即可。 百级后,零转坦克战士元素用比命邪就行,如果过了等级不能熔炼了,可以做四比四邪。 无论你干什么事情,首先要要满足满施法。 不
古代全货币详解,写给所有0氪和月卡玩家
大家好,上个帖子是我写的第一篇攻略,反响还不错,最近六转毕业好久了实在无聊,就想着给大量涌入的萌新介绍一下古代中所有货币的价值于意义,帮助萌新做好资源规划,在古代战争中更加如鱼得水,不再迷茫。 惯例,暴怒永远的爹,路西法镇楼。 写在前面:我是天启服务器的历代星辰,开服大概两个月左右后进入这个游戏的,自建号一路0氪玩到现在还差15级七转,相信我的经历可以适用于所有0氪玩家,因此,这个攻略只针对所有0
纯法队攻略
本文仅针对0转纯法队,若非纯法队,本文参考有限 前言: 不论你是被法队的颜值所吸引,还是对满世界的狮子审美疲劳,如果你和我一样选择了法队开局,那么需要承认的是法队pve强度远低于狮子队,pvp强度0转后期才有起色。 玩法队一定要有佛系的心态,对于法队来说,正常6~10速到达150级推图极限24图,无尽2000,每日副本14,恶魔巢穴14,仅供参考。 法队的核心思路就是经过鸟人五回合强化后的莎莎,足
萌新关于敲头那些经验
直接干货。 1、敲头就是普攻,不是技能攻击,不是普攻打死。 2、敲头没必要一开始就卡1-2。 3、一回合6次敲头就是你上阵的6个人1回合没全部是普攻打别人,不是第一回合,也可以是第10回合。刷这个敲头用猪脚下技能猪比蒙守望,加两个回血施法60%的,这样一个回合就有0.4*0.4的概率出现6个人全普攻。最好刷的地方是可以打9-10个回合,这样概率更大,一个小时能有100多次,20来个小时就刷好了。 4
00:48
库克流打法,有喜欢创新的可以看看。
零转初次用库克,神器只开到了4个50,星辰可以换守望收尾,尝试过有猪的图,圣光图也可以行。😁感觉可以代替前期的法队。
【入坑必看】天赋加点心得分享
本人在天赋重置上已经花费超过2000钻了,摸爬滚打总结出了一些自己对天赋加点的理解。 首先每天100钻两次的天赋点必买,能大幅度加快进度,大佬买买买请无视。刚入坑的萌新优先把五个主动技能点出保证施法率,最下方给出技能推荐。 在65级解锁强力主动技能之前,由于套装紧缺,施法率低,建议不管是走物理还是魔法,都尽量以肉为主。且最好根据自己的装备类型来决定物理还是魔法。 优先点出苟活系被动,如下三列,包括
萌新入坑必读Ⅲ:传奇战场篇
前言:继和,今天给萌新带来第Ⅲ章,也是很多人问的传奇战场详细攻略。 一.传奇战场简介 传奇战场类有点似于金铲铲或者云顶之弈这种选人对战的游戏。 首先你会经历7轮三选一,得到7张基础阵容卡。这个环节是比较吃运气的,有时候脸白,T0的卡直接喂到嘴边,如果非酋的话经常三张里没有一张有用的。 经历完7轮三选一后,玩家需要挑选其中六张上阵打对面,对面是既定阵容非在线pk,在每完成一场战斗后,有三种选择
二转铁臂恶魔队毕业(附暴食图作业)
第一天1900 17-1 83(第一天转生碰上比较忙,感谢念佬帮我肝了大半天,我就晚上推了一百无尽两张大图) 第二天无尽没动 20-1 87 第三天无尽2174 25-1 97 第四天无尽没动 28-64 100 第五天无尽没动 卡28-142 102 第六天无尽没动 卡31-170 第七天蛮顺利,不到两小时就33-3 ,可是比较忙不推了 第八天毕业见三圣光 二转铁臂队除了轮回暴食图,是真的碰见亲
九转十三天毕业作业。(9转)
古代不大,但我很大,我是大西瓜。 2月26日转生。开始记录。 非常感谢cbb的群主物流帮我整理了作业。不用再一张图一张图的发了。 九转反而简单了点,就不会像八转那样什么图都发作业了。真正的卡点才会发,这样你们也好找作业。没作业记录的,也可以在帖子里说阵容或者q私聊我。 和我上篇八转作业差不多,男主默认尾速冰,亚瑟全攻,偶尔比命邪。 位面密码群群号1022340096二群303851186 前期没怎
十转毕业了。老规矩,分享一点感想与经验。
这次十转推了42天。第一次推,一开始很不适应。加上我投资的war3地图要上架了,所以没什么心思。30图后面熟练以后,每天进度在一个大图下线。 需要q联系的,天台一群1022340096(水群)。 二群看一群公告,但是基本就聊古代,与一群有区分,慎入。 感谢土里和陈老大的帮助与指导,感谢CBB和光明集团的陪伴。 下面分享一下装备与配置。 作业的话,会在另一个作业记录贴里放出。 首先是配置。 1铁臂,
以亚瑟为核心的亡灵队
先说下结论:0转亡灵合成顺序是亚瑟伊万白羽风语天使女皇,色域血狮龙王路西法守望,悠悠圣行。 神器的优先级是亚瑟>白羽>伊万>主角>女皇>色yu牧首>其他。 觉醒了还专精亡灵的可以看我这个帖: 亚瑟队的推图思路是数刀数。因为偷攻后伤害是恒定了,可以直接判断6个怪需要几回合解决。然后再看用工具人需要几回合解决 一、 队伍配置 常驻有4亡灵:亚瑟伊万白羽风语。剩下一个是工具人位置。 1.1亚瑟,作为核心
古代战争0-6转攻略
古代战争为数不多个人觉得非常良心且退坑还能想起来玩的游戏。 最近闲的无聊给大家整理一套0-6转的攻略。 以前游戏刚公测推图的时候是血狮国家队和莎莎法队。 推图比较痛苦,但是世界聊天比现在舒服很多。 玩了个3还是4转就没有玩了,最近心里痒痒想起来这个游戏也是弄了多个号在玩1、2、7、9、11,推图为辅收菜为主。 装备方面前期辅助禁卫,C位比蒙、命运、邪龙。 后期加入生灵、星辰、光辉、奥术配装。 记住
加载中