首页
排行榜
发现
动态
云游戏
PC 游戏
论坛
创作者中心
开发者中心
TapTap 制造
聚光灯 GameJam
发布
下载手机 APP
扫码下载
Android APK 下载
版本:v
App Store 下载
版本:v
下载 PC 版
Windows 版下载
版本:v
下载 TapTap
TapTap 手机 APP
扫码下载手机App
Android APK 下载
版本:v
App Store 下载
版本:v
TapTap PC 版
Windows 客户端下载
版本:v
综合攻略
加载中
黄衫女攻略(五):主力及挂件搭配详谈
人生当苦无妨,良人当归即好!———《我要当掌门》 相信很多玩家进入游戏第一件事就是要问怎么搭配阵容?首先,掌门这款游戏不需要你无脑追求红、橙品质的弟子,因为培养不起来还不一定能打过绿色弟子。下面我们主要谈下部分主流阵容搭配和武学搭配技巧: 一、主力推荐 根据游戏机制,阵容中一般搭配1名主C弟子和4名挂件弟子。首先说下主C,开局主C选择建议V10以下宋玉清开局,等小宋赏赐满了之后:①、V5(1#2023感谢庆典
对于《我要当掌门》我想说的,可能就是你想要知道的~~
先从游戏基础物资说起把, 锦囊 产出途径: 1,挂机推主线产出,每击败一波小怪,得白色锦囊*1(积分价值为1分);每击败一个boss,得绿色锦囊*1(积分价值为10分), 2,各个活动排名奖励,进度奖励,或者任务奖励等等产出。 3,商店购买产出 4,礼包购买产出 主要途径还是以主线推图为核心!! 注: a,基础产出受①基建收益(建筑的分钟收益)②开锦囊的暴击(123倍,3种倍率),这两个因素影响。
00:46
主线兰芷推图套路1
兰芷配置:独门+荡星剑 上官飞扬:嵩山剑意+荡星剑 剑神:碧霄剑法+化骨绝技(火烧连环/其他) 林风:嵩山剑意+血脉压制 索尔图:用他的天赋被动即可(需要队伍中其中一人内功为龙象功,若没有此功法,索尔图可以不上) 此队伍配置思路,虚弱+燃烧双buff,,提高核心兰芷的群体输出能力。
纯新人的0氪攻略,氪佬可以无视
语文不是太好,写的比较乱大家随便看看就好。本人是六区的青龙会,攻略纯属个人理解要是被坑不要怪我。先感谢一下六区的大佬帝释天在游戏中给我的一些建议让少走了很多弯路。1、弟子的选择,这里我分为前期小宋,前中期大雕,中期小宝,后期童姥和杨过,前期小宋玩到50紫碎片出紫色大雕的时候就可以立刻换了无需等待,天赋碎片边玩边升,但是在大雕换成小宝时可以稍微等待一段时间不需要一出就换,主要是小宝比较吃天赋和武学,
船新版本开局攻略
新版本新玩法,时代变了,论坛很多攻略不太对劲了,适应潮流尤为重要。 首先,开局玩法什么练宋养雕,拉建筑搞赏赐之类的,就不写了,这些有很多人写了,都很好大同小异,新手的话论坛上多看看就好了,下面只说几个最近版本的重点改动,要怎么玩。 第1点,稍早一点的变动,就是月卡的变动,重要的自选奖励就是掌门令和秘境卷了,掌门令多重要不必说了,双月卡一个月能攒450令,放到除魔活动刷,香呀,大月卡的3秘境卷更
前中期弟子的培养选择
游戏公测马上7天了,上一篇讲了新手开局发育玩法,接下来谈一下七天乐之后,前中期弟子的培养选择,主要是平民低氪的选择,毕竟真大佬都是一步到位,哈哈。 好了,入正题,小宋快慢也就几天的事就培养到头了,接下来怎么换那些弟子呢,挂件方面,其实没什么好说的,就上一篇提的那些选就是了,再加一个橙弟子,沐公子,上阵加攻防,明显就是挂件天赋,但实话说,如果加上出云海棠还有主力橙,这升级突破材料的需求很大,暂时不建
【浅谈平民红弟子】
如题,探讨一下平民后期红弟子的选择,只说下平民能拿到的,毕竟大佬氪服一切,无须多说。 不得不说,这游戏还是可以的,我很喜欢,玩法很有特色,对平民也算友好,除了个别氪佬专属外,平民随着时间推移,也会开放很多红弟子兑换。下面针对后期能换到的红弟子,逐个分析下。 1、冰珑(童姥),威名4000送,零氪的话差不多50天吧,这弟子一二天赋回血,强度比杨过差点,但也不错,重在免费,省下红碎片可以升天赋,三
游戏后期玩法、各商城兑换、元宝使用推荐
本文以本人玩了5个月的经验编写,如有不足之处欢迎交流。 本人消费刚到v7,目前战力4000W+,所以本文可能也比较适合V5以上的玩家。21区应该是最卷的区了,曾经有30+个V5玩家,第五战区的其他玩家应该都有体会,但是随着时间流逝,大部分玩家都坚持不下去,一个个弃坑了,现在也只剩回忆了,我也不知道还能坚持多久,稍显遗憾。 个人认为本人的发展经历基本没有走弯路,现有的各项数值也比较合理,以个人的
平民玩家主流角色培养体验与强度分享
大家好我是九区的幽明谷,我从接触这个游戏体验了好多个角色的培养,从宋-大雕-郭靖-宫本-胡斐(白震云)-小宝,几乎把大部分平民主流角色都玩了一个遍,现在把自己体验之后的心得和强度理解分享一下。 先说角色强度维度,玩到中期阶段我认为角色强度从3个方面决定:1.面板属性, 同样级别的角色基础属性差距并不大,造成属性差异里有很大一部分是侠缘,最明显的就是小宝的侠缘是太子和红色冷血,这两个基本很少有人用,
玩了14个0氪金号的攻略心得
大家好,我是5区到12区都有0氪金号的侠之大者,谈谈心得体会。0氪金如何吊打用小宝的v4号呢?用剑侠客,推荐用青梅,葬剑谷可以刷,更容易满天赋,自带橙色攻击剑法,配合华山刷的华山剑意,后期可以转冷月或杨过,冷月活动酒筹给20左右碎片先出,活动可以换红色弟子碎片的别错过。我5区号v3的220万小宝被0氪金号100万杨过吊打。资源优先大殿23级开3矿,主c能学的都学,开始内功用峨眉四方师太学的峨眉五花
新人小氪攻略-开局篇1
大家好,我是31区的诛天。 之前试着玩过2个区的开局,27和28,走过了一些弯路,也总结了一些经验,昨天周五刚好是开首区,这才决定在首区好好玩下,准备小氪一点充个小傅长期玩玩(预算是先700左右出小傅,然后后面再看是否要去v5) 废话不多说了,先说开局经验的干货。 一,开局前的准备工作: 事先准备好所有的游戏码,包括游戏通用码,近期的突袭福利码,q群找大师姐拿的加群福利码,和tap平台的福利码(
1600关终于过了!
给出阵容和技能供大家参考,祝大家都过关!
【平民重要功法获取详解】
这里讲一下游戏中平民能够获取的功法,个人觉得比较好用的功法的获取方式。 剑法: 太乙剑(紫色随4),阵法堂14级招募客卿长阳真人抄录 华山剑意(紫色单体持续3回合回血),华山派(秦川)交涉招募客卿君行健抄录 金蛇捣海剑(橙色打列流血),华山派交涉,衡山派(潇湘)秘境 星流云剑(红色群攻看人数),黑魔教(西羌)秘境西玄洞天 拳法: 金刚劲(紫色最高免伤),崇光寺(大理)交涉 舍身拳(
除魔卫道130/300次除魔准备哪些资源
除魔令来源 首先、除魔卫道活动期间7天令牌产出除魔令来源,按照V5+18元活动礼包来分析: 24小时/块 中午/晚上合计领取10块 元宝购买15块(v5+18活动礼包) 合计49块令牌*7天=343块令牌; 343块令牌/3.5~5=68块~98块令牌(看人品) 由于令牌产出除魔令出货率不稳定,取4块令牌平均产出1块除魔,343块令牌/4=85块除魔令 其次、除魔卫道活动期间【6元档】获得除魔令具
【新手指引】新手攻略汇总(12.25持续更新中~)🤳🤳
各位掌门好呀~ 这里依旧是小师妹和小师弟在线服务~ 各位听说了没? 《我要当掌门》的征途就要开始啦! 为了让掌门更好地体验游戏,我两特地开了这个最新攻略汇总帖 争取让各位掌门能尽快熟悉游戏,能进入掌门江湖尽兴玩耍! 本帖不定时更新,欢迎大家按照自己的需求寻找攻略~ 👇【新手秘籍】新手入门与基本介绍👇 👇【进阶攻略】萌新进阶与提示介绍👇 👇【事件大全】门派交涉的事件合集👇 👇【弟子问答】弟子请教与问
除魔规划攻略(0氪到中低氪)
除魔算是这个游戏中最重要的活动,无论是特殊途径的红弟子,还是无初始冷却的红色武学,还是大量红弟子碎片红客卿碎片以及红色秘宝等等,在这个一月一轮的活动中都可以白嫖,大部分人一头雾水,对于这个模式感到迷茫,不知道如何规划,怎么使用除魔令最划算还有能获取多少的卫道币。 这里时候除魔5波以内各阶段的奖励,需要的除魔令,以及所能获得的卫道币。但是我们7天时间内还能通过交涉获取除魔令,根据存储掌门令数量,
给新手的建议,武功应该怎么练?
众位看官,天下武功,何为至上?武学修为应该专精一门,臻至炉火纯青,还是博采众家之长,融为一炉?我们来看几张图片,数据告诉我们答案。 先看两门内功: 一门是江湖上流传甚广的无常神功(萌新正常推图获取没有任何难度),练至满级的属性是“气血+35217、内力+258、防御+357”,另外还有3%的伤害减免 另一门内功是张教主的九阳神功,练至10级的属性是“气血+13201、内力+615、防御+369”,
新人小氪攻略-开局篇2
大家好,我是31区的诛天。 一,大殿: 继续接着上次的讲,今天是周一,开服的第4天了,有个拿元宝的悬红活动,不过需要大殿等级20级才能参与。前3天规划好资源不浪费,只升级大殿的前置建筑,然后每天资源箱买满,今天离升20级大殿基本就只差150w~200w左右的材料了。其实这里就只需要买个68的月礼包就够材料升级了,不过咱是低氪,每笔钱都得精打细算规划好,毕竟68都够买11次的日礼包能攒22片秘境券了
来自一个v5小卡拉米的攻略-建筑篇
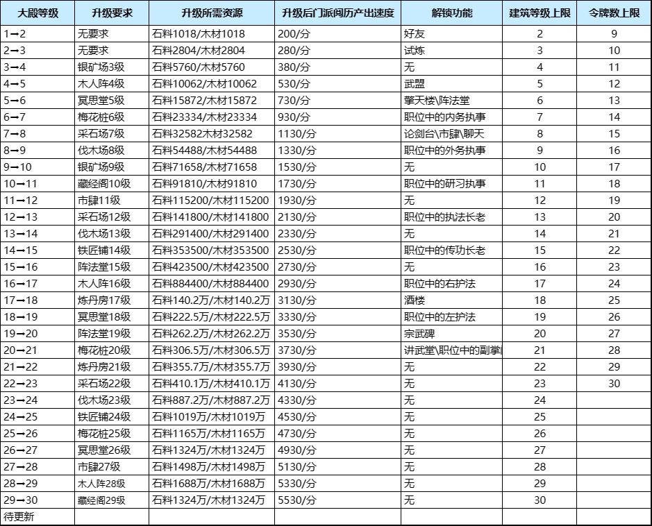
游戏都是周五开新区,开局把兑换码用了之后起码两天是不会缺材料的,前期建筑消耗很少,所以看什么顺眼升什么就行,当然也就前面两天可以,等三天后要有规划了,可以看图一的表,q群大佬总结的升级消耗。 等到了23级之后,解锁第三个矿脉,就可以停下升大殿的步伐了,可以停个两天升下矿脉,我是大殿23之后升矿脉,然后把主c给重置了,主c这时候的礼物只给有好感加成的,其余分出去升绿色弟子的好感等级,绿色升完了就升
落霞宗V0-V4攻略(一):总纲计划及第一天注
我发现论坛上的攻略有二个特点,一个是初期攻略多而散,内在逻辑性不强,给人一种想到哪说到哪的感觉。二是小宝之后的攻略比较粗糙,往往一带而过。针对以上问题,我计划出一系列攻略,主要包括开局前7天以及小宝中后期攻略。后面的活动感觉跟各位大佬也有些出入,到时再看大家需要不需要吧。 书归正传,第一天关键词:升建筑,进一盟: 1.客户端选择。目前客户端有tap,微信端以及九游等各种渠道app。其中tap和微信
加载中