【我的勇者-攻略】欲壑伤害计算与测试(bug已修复,每层增加5%伤害)
精华修改于2020/01/143465 浏览攻略发布区
首先附上一张欲壑的效果图:

10%几率清空所有层数,看上去很不稳,很多人都被他的表象所迷惑,认为这个装备很垃圾,其实不然,接下来我尝试用数学的方法求一下这个戒指的加伤期望。
这个戒指在第K层时触发清除所有效果符合几何分布模型,概率为P(X=k)=p*(1-p)^(k-1),其中p=0.1。
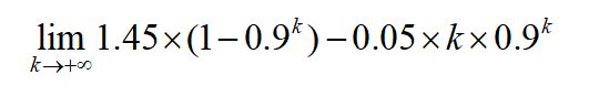
那么戒指的加伤期望为:

这可以看成是一个等比数列和一个差比数列求和,再取极限。下面是结果:

取k=99得到:

取k=9999得到:

可见,欲壑的加伤期望高达45%,比元素戒指33%的输出期望高12%,很值得拥有。
但是你以为这样就完了吗,当然不是,理论计算只是纸上谈兵,实不实用还要看实战数据。于是我尽我最大的努力来控制变量,下面是我的实战测试。
测试环境:空武器,空魂卡,空装备(除了戒指),血量50%以下(避免牧师天赋影响)测试面板(攻强相同,木攻相同,不计暴击数据):



下面是我测试出来的数据:
元素戒指:156和311欲壑:

每层平均增加4点伤害,可见伤害加成应该是加法,我取两端之差求平均:(241-156)/22=3.863636。
每层加伤率:3.863636/156=0.0248。
每层只增加2.5%伤害?不会吧!抱着怀疑的心情,我进行了很多猜想,但是影响输出的只有木攻和攻强,怎么也凑不出0.025这个数据,接着我又尝试了另外两个技能:

三层:

圣灵弹:((302-281)/3)/281=0.024911

三层:

天罚:((2062-1918)/3)/1918=0.025026可见,实际测试欲壑每层只加2.5%伤害,我觉得这个应该是个bug,官方应该会进行修复。(现在已经修复,每层增加5%伤害)
如果官方不进行修改,那么这个戒指伤害期望又是多少呢?只需要稍微修改一下公式,

取k=99得到

只加22.5%伤害,垃圾!
结论:目前有bug的欲壑不如元素戒指,但如果官方修复bug(目前已经修复,每层增加5%伤害),还是可以使用。即使修复了bug,也有使用条件,欲壑没有爆发,需要有一定时间来发动,法师和牧师超高的技能频率可以缩短启动时间。

