[海牧/鬼牧][高阶]魂卡稀释、属攻稀释、技能伤害稀释解答
精华修改于2020/05/301.3 万浏览攻略发布区
鬼牧的出现让本不活跃的祈求牧师一下子活跃的起来。
水牧的玩家基数很大,所以鬼牧一出,我收到了来自很多同僚的问题。
基础的就不多说了,大家翻我之前的帖子即可。
![[嗒啦啦2_经验+3]](https://img-tc.tapimg.com/market/images/f2dbb0dbf9438e3a20cd14342d893191.gif)
其中重点说一下列拉金魂卡的取舍问题,问答如下:
问题 1:
列拉金魂卡是增加盛宴技能 30%伤害,跟技能增伤是同一类(稀释)吗?
回答:
指定技能增伤与技能增伤属于不同类型增益,不稀释。
所以尽情使用元素之智和宗师头
问题 2:
邪噬和盛宴哪个伤害高?
回答:
一轮打下来,总伤害邪噬比盛宴高出很多(伤害比 1.4:1),不要小看紫技能,也注意不要离太远漏技能。
问题 3:
鬼牧自带回复,刷秘境不用带潮汐了吧?
回答:
打秘境,带着舒服,伤害没差多少。
原因:鬼牧对单回血收益极低(全靠吃球回血)爱暴毙;且冰杖+潮汐打出冰冻和冰缓,附带 10水伤
且爆发期间属攻增益潮汐也吃到了(我鬼牧一个潮汐能打出 2400 万+伤害)
所以,基本比带元素之智伤害少不了多少,打 boss不暴毙。
问题 4(划重点):
鬼牧带列拉金怎么样?
回答:
一般属性的海魔女(生命,攻强,攻速之流),2 星不怎么样,4 星勉强带,因为被符文套稀释的差不多了
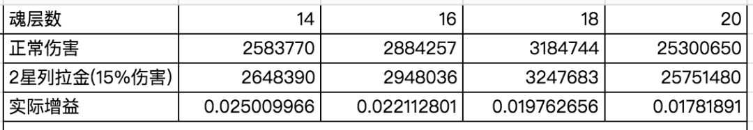
详解:以本人1251 能量计算,理论收益

实测收益比理论收益还少一点点(没追求什么原因, 但证明魂卡与符文套相互稀释)

问题 5:
那魂卡带什么好?
回答:
任意双爆 4 星卡,详解:

![[嗒啦啦2_吃瓜]](https://img-tc.tapimg.com/market/images/6eb1d083dff1c09692102cb5a98727f3.gif)
好了,就解析到这吧,有问题留言


